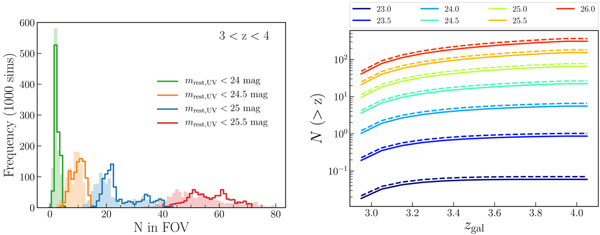
Fig. 15.

Left: number of galaxies in a randomly placed FOV in the 3D-HST GOODS-South field. The filled and empty histograms are computed for the FOV = 44 (52) arcmin2, corresponding to the VIFU and HMM-VIS modes, respectively. The FOV is repositioned 1000 times. The results are given for different magnitude cuts, and a redshift range of 3 < z < 4 is considered. Right: predicted cumulative numbers of galaxies in a 44 (solid) and 52 (dashed) arcmin2 FOV obtained by integrating the measured rest-UV luminosity function of LBG galaxies (Reddy & Steidel 2009; Bouwens et al. 2015). Different colours correspond to different limiting magnitudes.
Current usage metrics show cumulative count of Article Views (full-text article views including HTML views, PDF and ePub downloads, according to the available data) and Abstracts Views on Vision4Press platform.
Data correspond to usage on the plateform after 2015. The current usage metrics is available 48-96 hours after online publication and is updated daily on week days.
Initial download of the metrics may take a while.