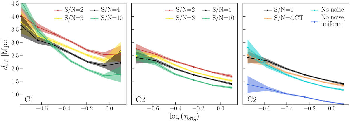
Fig. 6.

Pseudo-distance between the skeletons on the original and reconstructed fields as a function of the density of the original field, where the optical depth τorig is taken as a proxy for the density, in the C1 (left panel) and different flavours of the C2 configurations (middle and right panels). See the caption of Fig. 4 and Sect. 2.1.4 for details.
Current usage metrics show cumulative count of Article Views (full-text article views including HTML views, PDF and ePub downloads, according to the available data) and Abstracts Views on Vision4Press platform.
Data correspond to usage on the plateform after 2015. The current usage metrics is available 48-96 hours after online publication and is updated daily on week days.
Initial download of the metrics may take a while.