Free Access

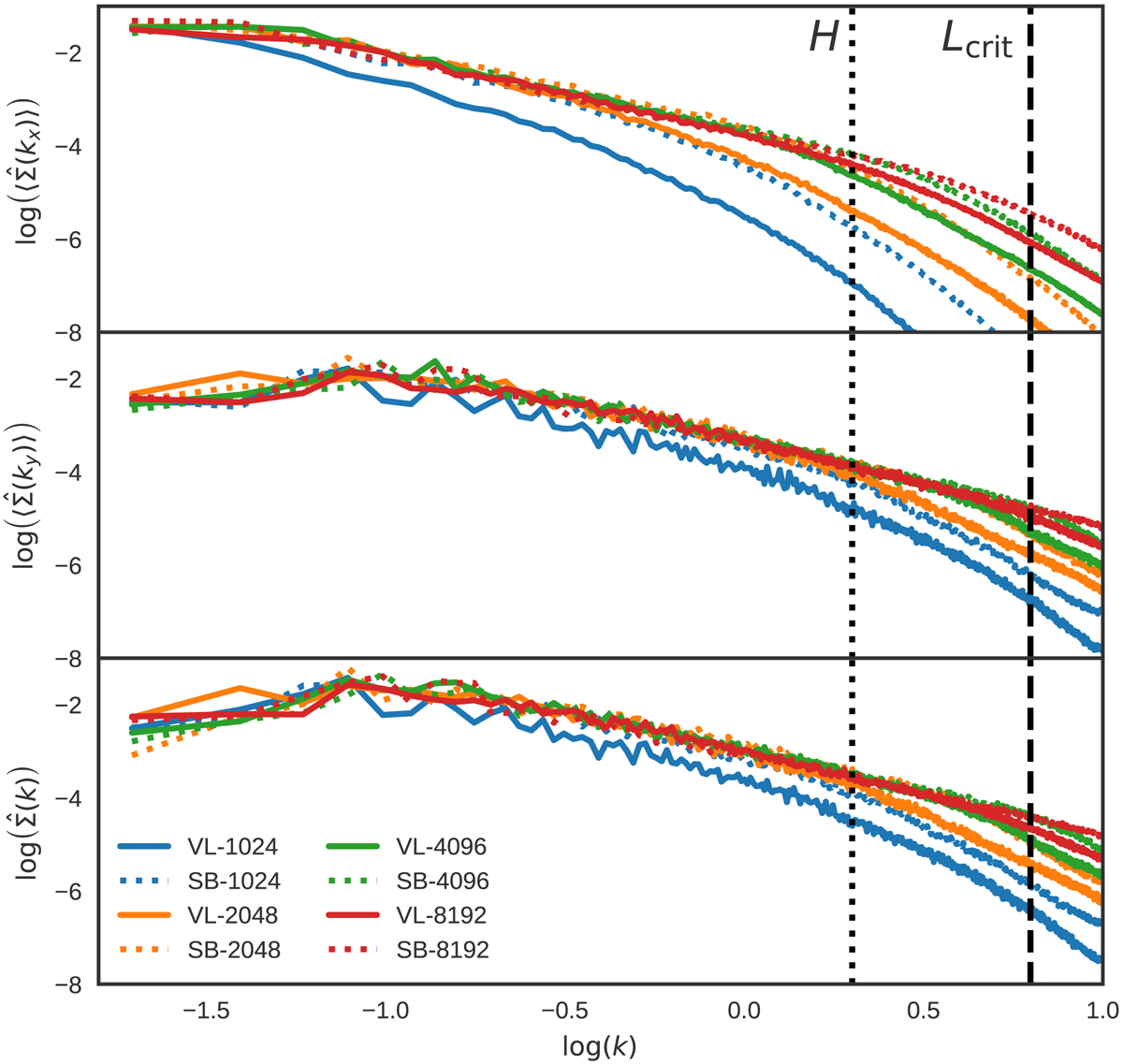
Fig. 5.

image

Components of density spectrum for different resolutions and limiters. The density spectrum is well converged at highest resolutions to a length scale of H. The component in x-direction is only close to convergence down to Lcrit.

Current usage metrics show cumulative count of Article Views (full-text article views including HTML views, PDF and ePub downloads, according to the available data) and Abstracts Views on Vision4Press platform.

Data correspond to usage on the plateform after 2015. The current usage metrics is available 48-96 hours after online publication and is updated daily on week days.

Initial download of the metrics may take a while.