Free Access
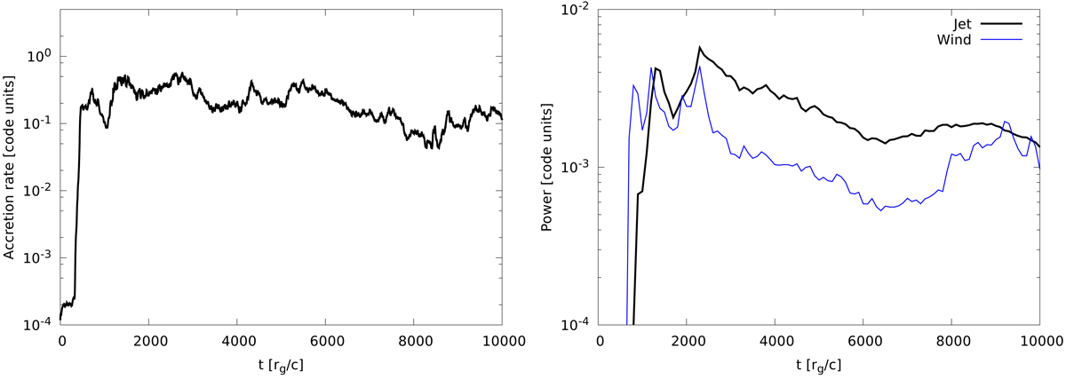
Fig. 4.

Mass accretion rate and jet and wind power. We computed global quantities of the Cartesian GRMHD simulation, accretion rate in code units as a function of time (left panel), and jet and wind power in code units as a function of time (right panel).
Current usage metrics show cumulative count of Article Views (full-text article views including HTML views, PDF and ePub downloads, according to the available data) and Abstracts Views on Vision4Press platform.
Data correspond to usage on the plateform after 2015. The current usage metrics is available 48-96 hours after online publication and is updated daily on week days.
Initial download of the metrics may take a while.