Free Access

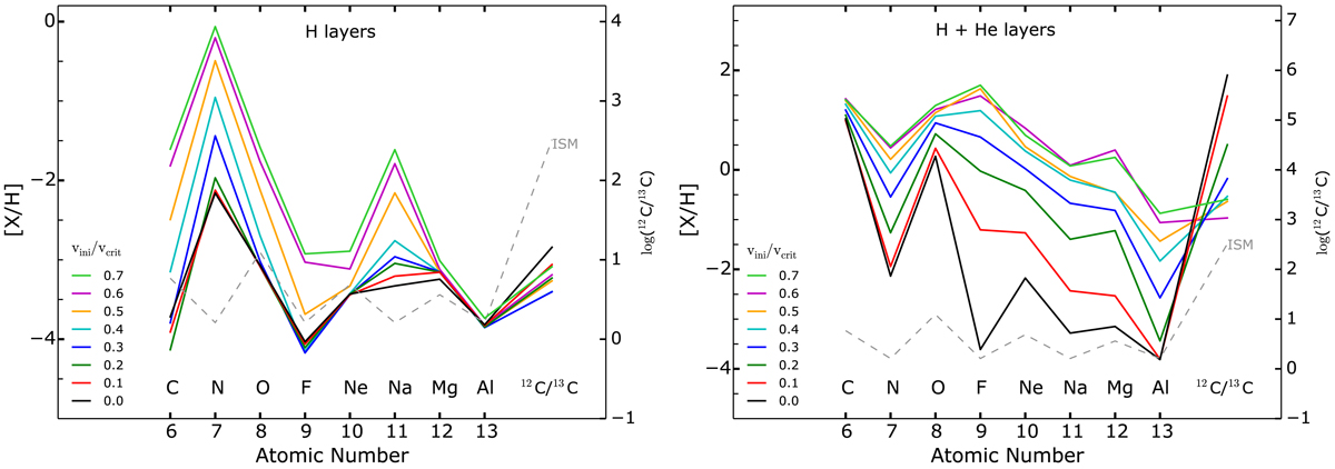
Fig. 2.

image

Integrated [X/H] and log(12C/13C) ratios in the H-rich layers (left panel) and H + He-rich layers (right panel) at the pre-SN stage for the 20 M models with different initial rotation rates. The material ejected through winds during the evolution is included. The dashed line shows the initial source star composition.

Current usage metrics show cumulative count of Article Views (full-text article views including HTML views, PDF and ePub downloads, according to the available data) and Abstracts Views on Vision4Press platform.

Data correspond to usage on the plateform after 2015. The current usage metrics is available 48-96 hours after online publication and is updated daily on week days.

Initial download of the metrics may take a while.