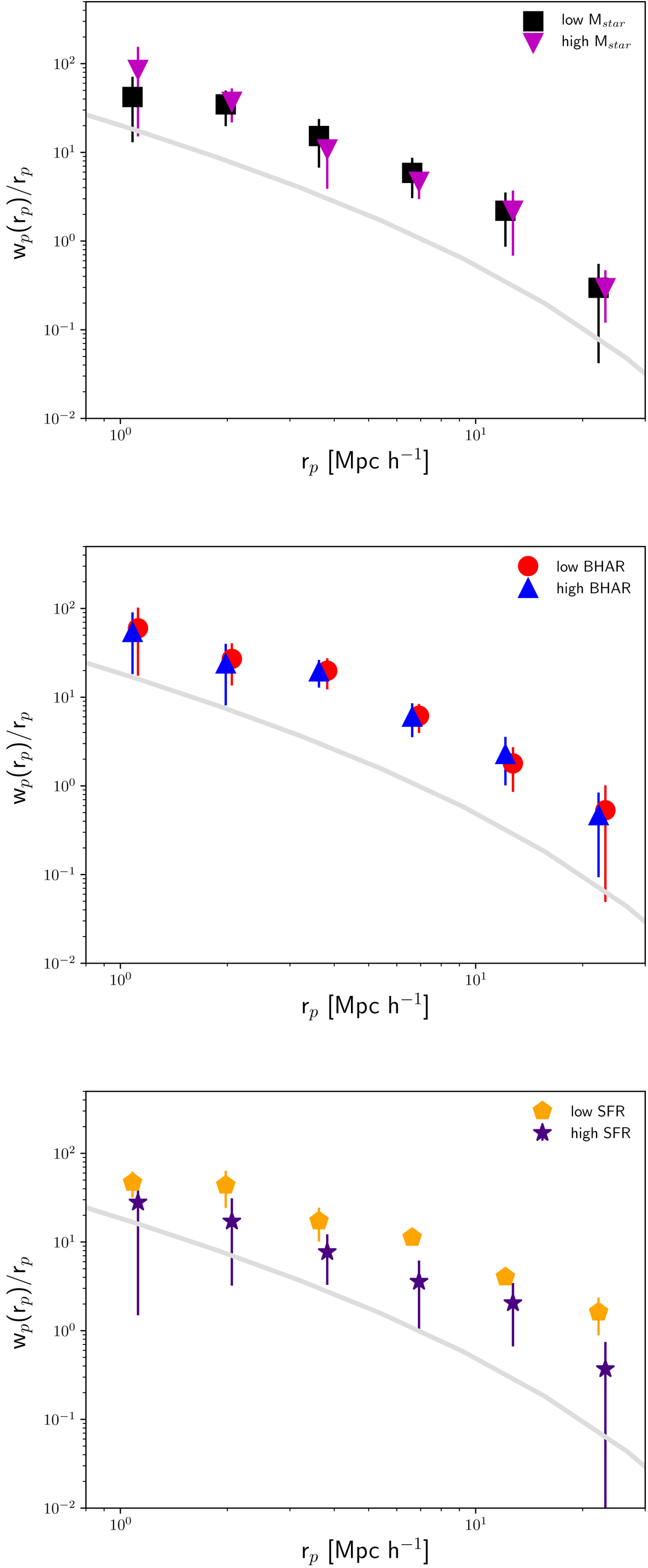
Fig. 5.

Projected 2pcf of CCL COSMOS Type 2 AGN as a function of panel a: host galaxy stellar mass, log Mstar < 10.7 (black squares), and ≳10.7 (magenta triangles); panel b: specific BHAR, logλBHAR < 32.6 (red circles), and ≳32.6 (blue triangles); panel c: log SFR < 1.4 (orange pentagons) and ≳1.4 (purple stars). The gray line shows the DM projected 2pcf at mean z ∼ 1.
Current usage metrics show cumulative count of Article Views (full-text article views including HTML views, PDF and ePub downloads, according to the available data) and Abstracts Views on Vision4Press platform.
Data correspond to usage on the plateform after 2015. The current usage metrics is available 48-96 hours after online publication and is updated daily on week days.
Initial download of the metrics may take a while.