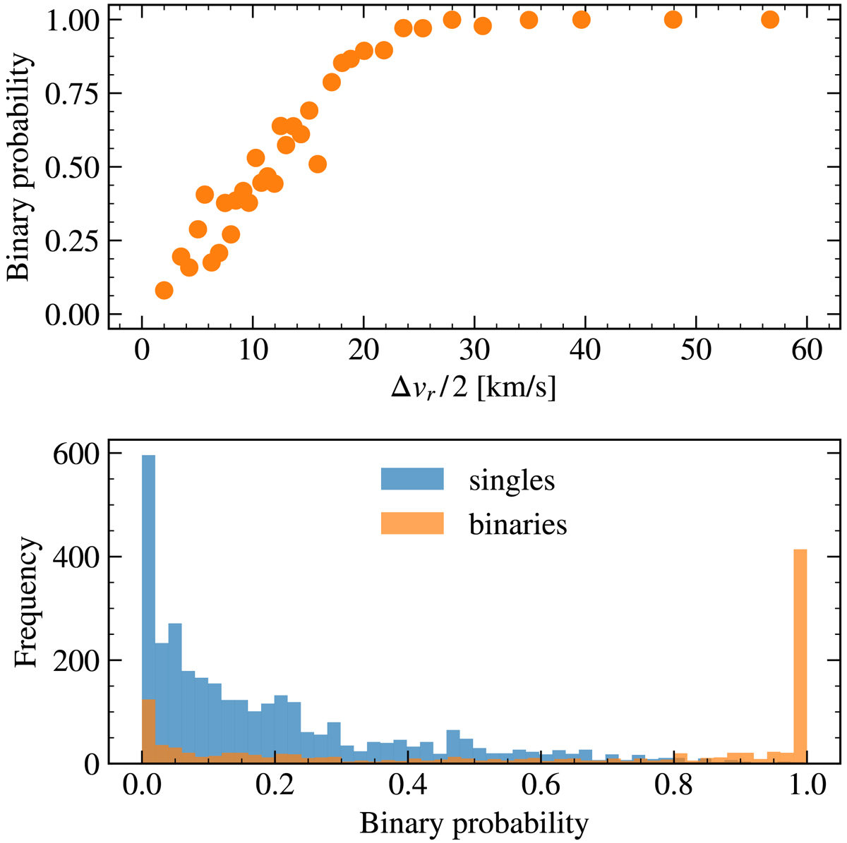
Fig. 7.

Top panel: variability probability as a result of the statistical method for all known binaries in the MOCCA mock observation as a function of Δvr / 2, a proxy for the projected radial velocity semi-amplitude. Bottom panel: histograms of the variability probability for known single and binary stars in the MOCCA mock observation.
Current usage metrics show cumulative count of Article Views (full-text article views including HTML views, PDF and ePub downloads, according to the available data) and Abstracts Views on Vision4Press platform.
Data correspond to usage on the plateform after 2015. The current usage metrics is available 48-96 hours after online publication and is updated daily on week days.
Initial download of the metrics may take a while.