Open Access
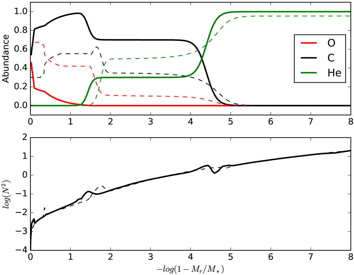
Fig. 12.
Top panel: chemical abundance profiles for fit 2 of Table 3 (solid lines), as well as the best fit model for the 0.609 M⊙ evolutionary track from Sect. 4.2 (dashed lines). These secondary solutions are in better agreement with constraints from spectroscopy. Bottom panel: corresponding Brunt–Väiäsalä frequency curves.
Current usage metrics show cumulative count of Article Views (full-text article views including HTML views, PDF and ePub downloads, according to the available data) and Abstracts Views on Vision4Press platform.
Data correspond to usage on the plateform after 2015. The current usage metrics is available 48-96 hours after online publication and is updated daily on week days.
Initial download of the metrics may take a while.