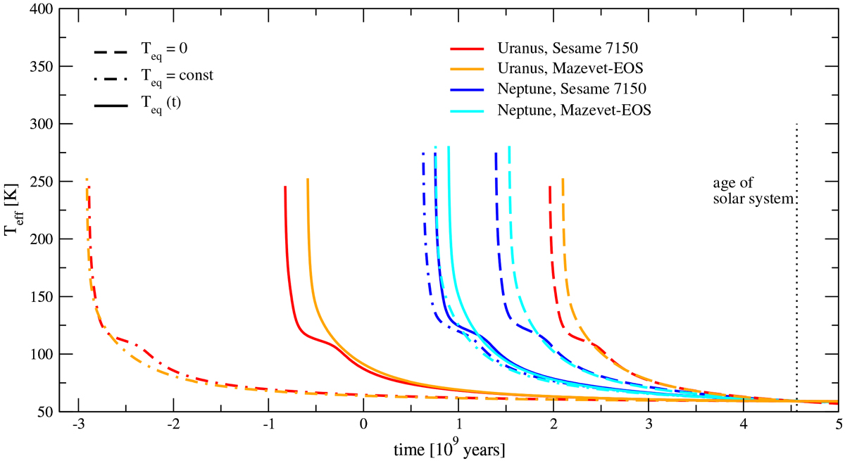
Fig. 4

Thermal evolution of Uranus (red and orange) and Neptune (blue and cyan). Dashed lines represent no solar incident flux, dot-dashed constant solar irradiation, and solid lines linearly changing solar luminosity (see Sect. 3.4). Also shown are two different EOSs for the water in the envelope, SESAME 7150 (Ree 1976) and Mazevet et al. (2019).
Current usage metrics show cumulative count of Article Views (full-text article views including HTML views, PDF and ePub downloads, according to the available data) and Abstracts Views on Vision4Press platform.
Data correspond to usage on the plateform after 2015. The current usage metrics is available 48-96 hours after online publication and is updated daily on week days.
Initial download of the metrics may take a while.