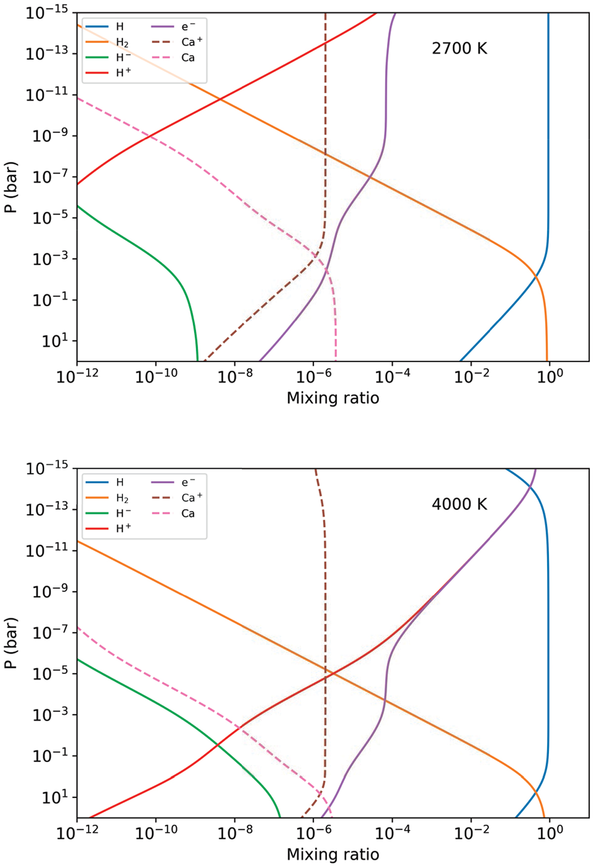
Fig. 13

Mixing ratios of hydrogen species calculated assuming solar metallicity, equilibrium chemistry, and isothermal temperature. The upper panel is for WASP-33b (2700 K) and the lower panel is for KELT-9b (4000 K). In both planets, H− exists at low altitudes and is the main opacity source of the spectral continuum. The calcium profiles are also plotted as dashed lines.
Current usage metrics show cumulative count of Article Views (full-text article views including HTML views, PDF and ePub downloads, according to the available data) and Abstracts Views on Vision4Press platform.
Data correspond to usage on the plateform after 2015. The current usage metrics is available 48-96 hours after online publication and is updated daily on week days.
Initial download of the metrics may take a while.