Free Access

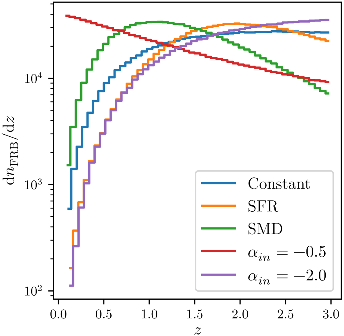
Fig. 1.

image

Comoving number density (ρ(z)≡dN/dz) as a function of redshift from a simulated distribution of 106 FRBs. The FRBs either follow a constant number density per comoving volume element (Wright 2006), the SFR (Madau & Dickinson 2014), the SMD (Madau & Dickinson 2014), or a power law in the comoving volume space with index αin = −0.5 or αin = −2.0 (see Sect. 2.1). Note that dnFRB refers to the intrinsic number of FRBs and not to an observed number because that would be affected by a factor of (1 + z)−1 as well as the luminosity function, spectral index, etc.

Current usage metrics show cumulative count of Article Views (full-text article views including HTML views, PDF and ePub downloads, according to the available data) and Abstracts Views on Vision4Press platform.

Data correspond to usage on the plateform after 2015. The current usage metrics is available 48-96 hours after online publication and is updated daily on week days.

Initial download of the metrics may take a while.