Free Access

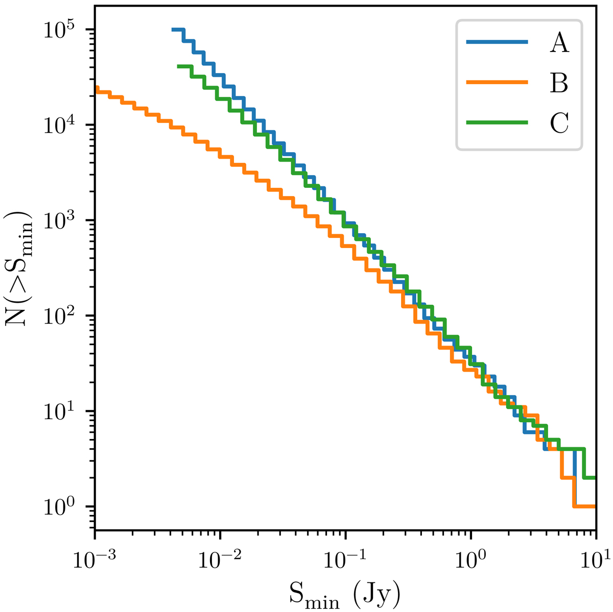
Fig. 4.

image

Cumulative source counts distribution of the number of detected FRBs greater than a limiting minimum detectable peak flux density, or log N–log S plot. The resulting plots for three populations are shown here, with popA(zmax, Lbol, γ) = (0.01, 1038, 0), popB(zmax, Lbol, γ) = (2.5, 1042.5, −1.4), and popC(zmax, Lbol, γ) = (2.5, 1043, 1). Although all three populations probe very different parts of the universe, it is clear that they exhibit very similar detection parameters at high fluxes. This figure is therefore used as an illustrative example of the danger of trying to interpret the underlying intrinsic FRB population from a single log N–log S plot.

Current usage metrics show cumulative count of Article Views (full-text article views including HTML views, PDF and ePub downloads, according to the available data) and Abstracts Views on Vision4Press platform.

Data correspond to usage on the plateform after 2015. The current usage metrics is available 48-96 hours after online publication and is updated daily on week days.

Initial download of the metrics may take a while.