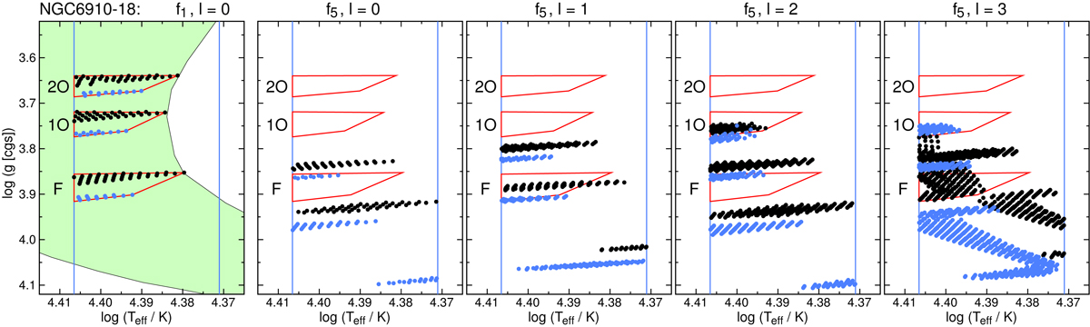
Fig. 12.

Kiel diagrams for models of NGC 6910-18. Leftmost panel: models that satisfy all criteria, (i) to (v), for the radial mode (f1). Black and blue dots correspond to modes with rotational velocities of 250 and 97 km s−1, respectively. The green area is the same as in Fig. 11; blue vertical lines correspond to the adopted Teff limits for NGC 6910-18. The models define three areas (shown with red boundaries) corresponding to f1 identified as fundamental (F), first overtone (1O), and second overtone (2O) radial mode. Remaining four panels: location of models satisfying all criteria for the f5 mode assuming (from left to right) l = 0, 1, 2, and 3. The colours of the dots have the same meaning as in the leftmost panel.
Current usage metrics show cumulative count of Article Views (full-text article views including HTML views, PDF and ePub downloads, according to the available data) and Abstracts Views on Vision4Press platform.
Data correspond to usage on the plateform after 2015. The current usage metrics is available 48-96 hours after online publication and is updated daily on week days.
Initial download of the metrics may take a while.