Open Access

Fig. 2

image

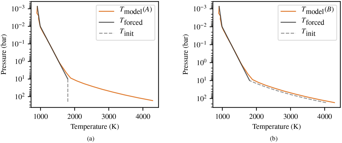
Equatorially averaged (i.e. the zonal-mean at the equator) TP profiles (orange) for two evolved models that were either isothermally (a) or adiabatically (b) initialised. In both cases there is no forcing below 10 bars (i.e. when P > 10 bar), and the forcing above this point is plotted in dark grey. In both cases, the models have been run long enough such that their TP profiles have fully evolved from their initial states, either isothermal (a) or adiabatic (b) for P > 10 bar, as shown by the light grey dashed line, to the same steady state, a deep adiabat that corresponds to Tsurface = ~1900 K – which is ~100 K hotter than the equilibrium temperature at 10 bar.

Current usage metrics show cumulative count of Article Views (full-text article views including HTML views, PDF and ePub downloads, according to the available data) and Abstracts Views on Vision4Press platform.

Data correspond to usage on the plateform after 2015. The current usage metrics is available 48-96 hours after online publication and is updated daily on week days.

Initial download of the metrics may take a while.