Free Access
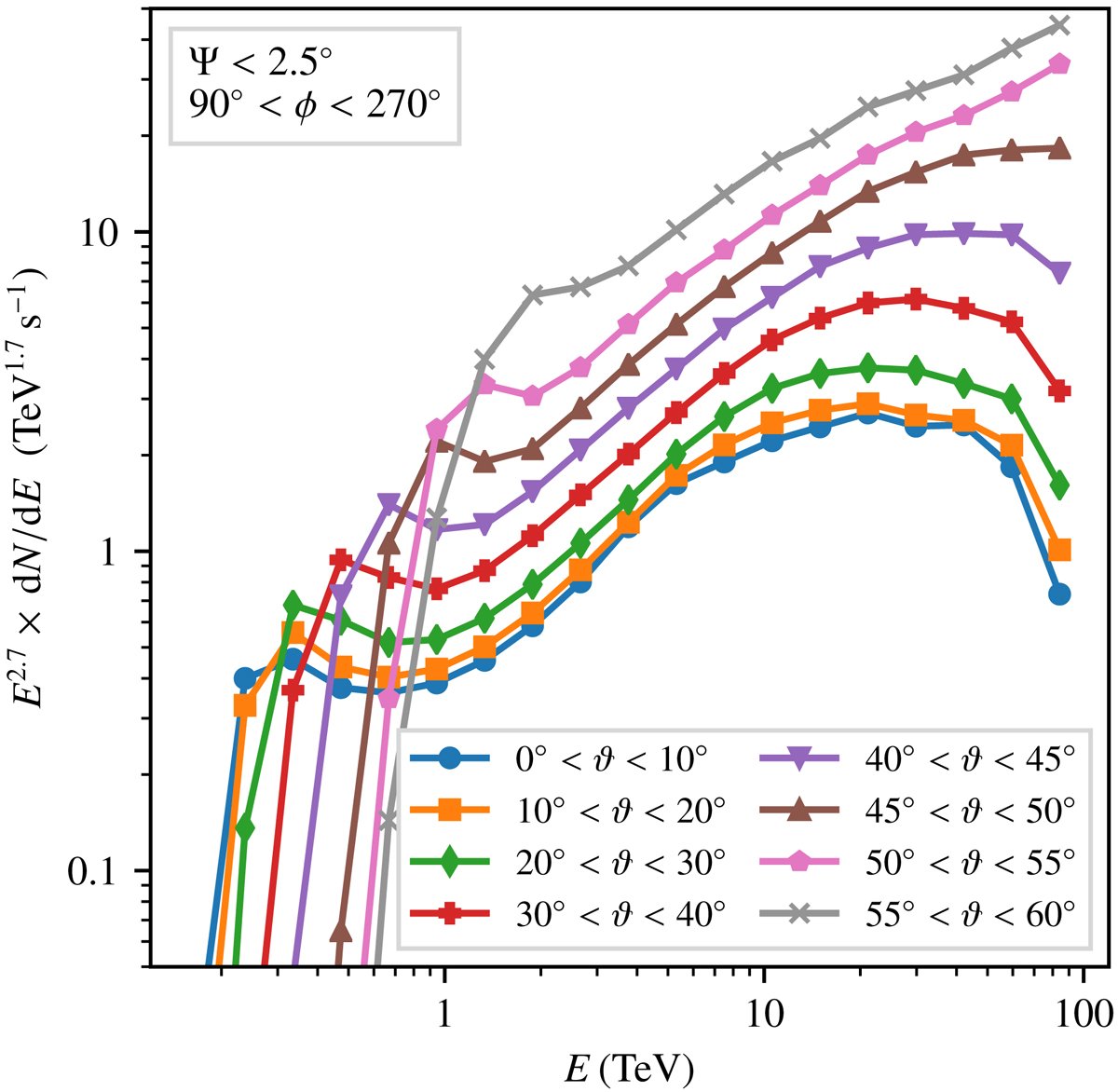
Fig. 13.

Background model energy spectrum in different bins of zenith angle ϑ, for azimuth angles 90° < ϕ < 270°. Shown is the rate integrated in a circle around the pointing position with radius 2.5°. To enhance features, the vertical axis is multiplied by E2.7.
Current usage metrics show cumulative count of Article Views (full-text article views including HTML views, PDF and ePub downloads, according to the available data) and Abstracts Views on Vision4Press platform.
Data correspond to usage on the plateform after 2015. The current usage metrics is available 48-96 hours after online publication and is updated daily on week days.
Initial download of the metrics may take a while.