Free Access

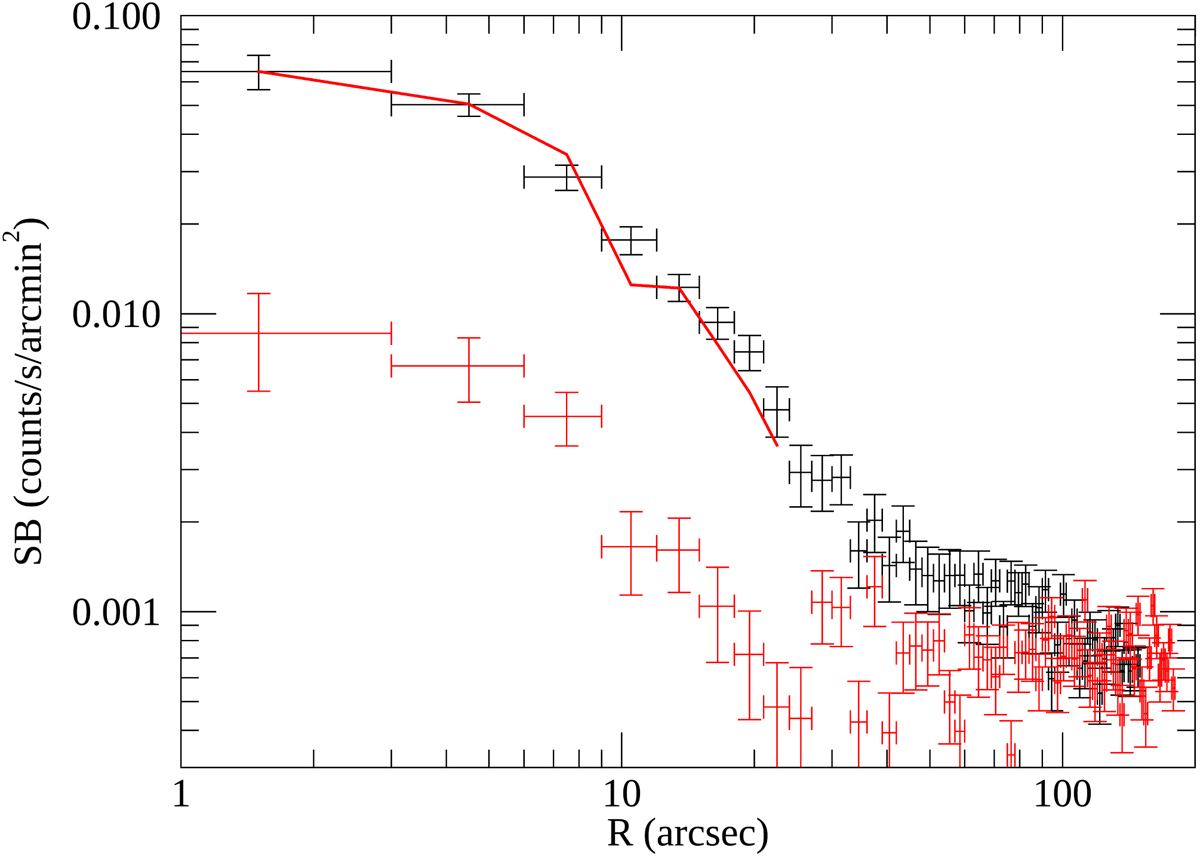
Fig. 8.

image

XMM-Newton surface brightness profile of the SG (black crosses) as compared to the profile of the nearby comparison point source (red crosses). The red continuous profile shows the surface brightness profile of the point source rescaled to match the intensity of the SG to simplify the comparison.

Current usage metrics show cumulative count of Article Views (full-text article views including HTML views, PDF and ePub downloads, according to the available data) and Abstracts Views on Vision4Press platform.

Data correspond to usage on the plateform after 2015. The current usage metrics is available 48-96 hours after online publication and is updated daily on week days.

Initial download of the metrics may take a while.