Free Access
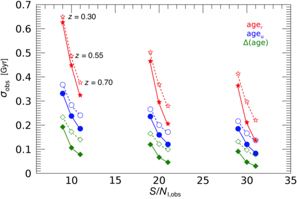
Fig. 20.

Median value of observational errors on ager (red stars), ageu (blue circles), and Δ(age) (green diamonds) as a function of S/NI, obs. Filled symbols correspond to Bayesian analysis where all measured indices were used, while empty symbols correspond to PDFs retrieved using only optical indices.
Current usage metrics show cumulative count of Article Views (full-text article views including HTML views, PDF and ePub downloads, according to the available data) and Abstracts Views on Vision4Press platform.
Data correspond to usage on the plateform after 2015. The current usage metrics is available 48-96 hours after online publication and is updated daily on week days.
Initial download of the metrics may take a while.