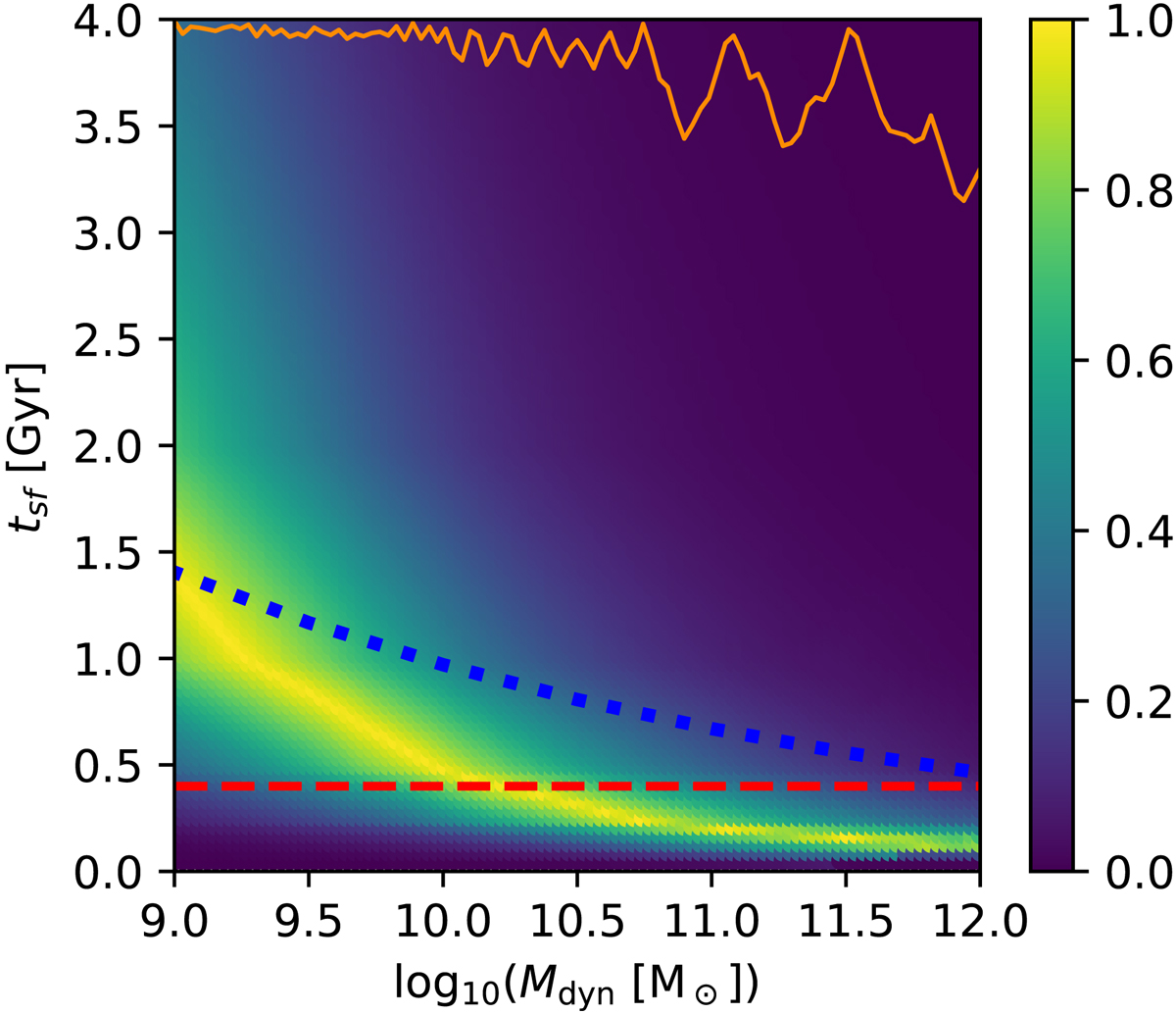
Fig. 5.

Same as Fig. 4 but with different fst values for each galaxy mass. The fst is shown in Fig. 6 below. It is now possible to find solutions for high- and low-mass galaxies but the required SFT for the massive galaxies are excessively short compared to the 0.4 Gyr limit given by Johansson et al. (2012) shown as the red dashed line (see text).
Current usage metrics show cumulative count of Article Views (full-text article views including HTML views, PDF and ePub downloads, according to the available data) and Abstracts Views on Vision4Press platform.
Data correspond to usage on the plateform after 2015. The current usage metrics is available 48-96 hours after online publication and is updated daily on week days.
Initial download of the metrics may take a while.