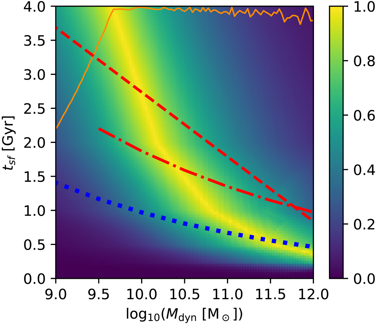
Fig. 7.

Same as Fig. 5 but assuming a higher galactic Mg yield by 0.15 dex (40%) increase. The additional red dashed line and the red dash-dot line are the half-mass formation timescale determined with the stellar population synthesis method, independent of our chemical evolution constraints, given by de La Rosa et al. (2011) and McDermid et al. (2015), respectively. We note that the red lines are rough estimations (see Sect. 6 below) and may shift horizontally by 1 or 2 dex depending on the amount of gas and dark matter involved in the estimation of Mdyn (see Sect. 2.3), which would not affect our conclusions.
Current usage metrics show cumulative count of Article Views (full-text article views including HTML views, PDF and ePub downloads, according to the available data) and Abstracts Views on Vision4Press platform.
Data correspond to usage on the plateform after 2015. The current usage metrics is available 48-96 hours after online publication and is updated daily on week days.
Initial download of the metrics may take a while.