Free Access
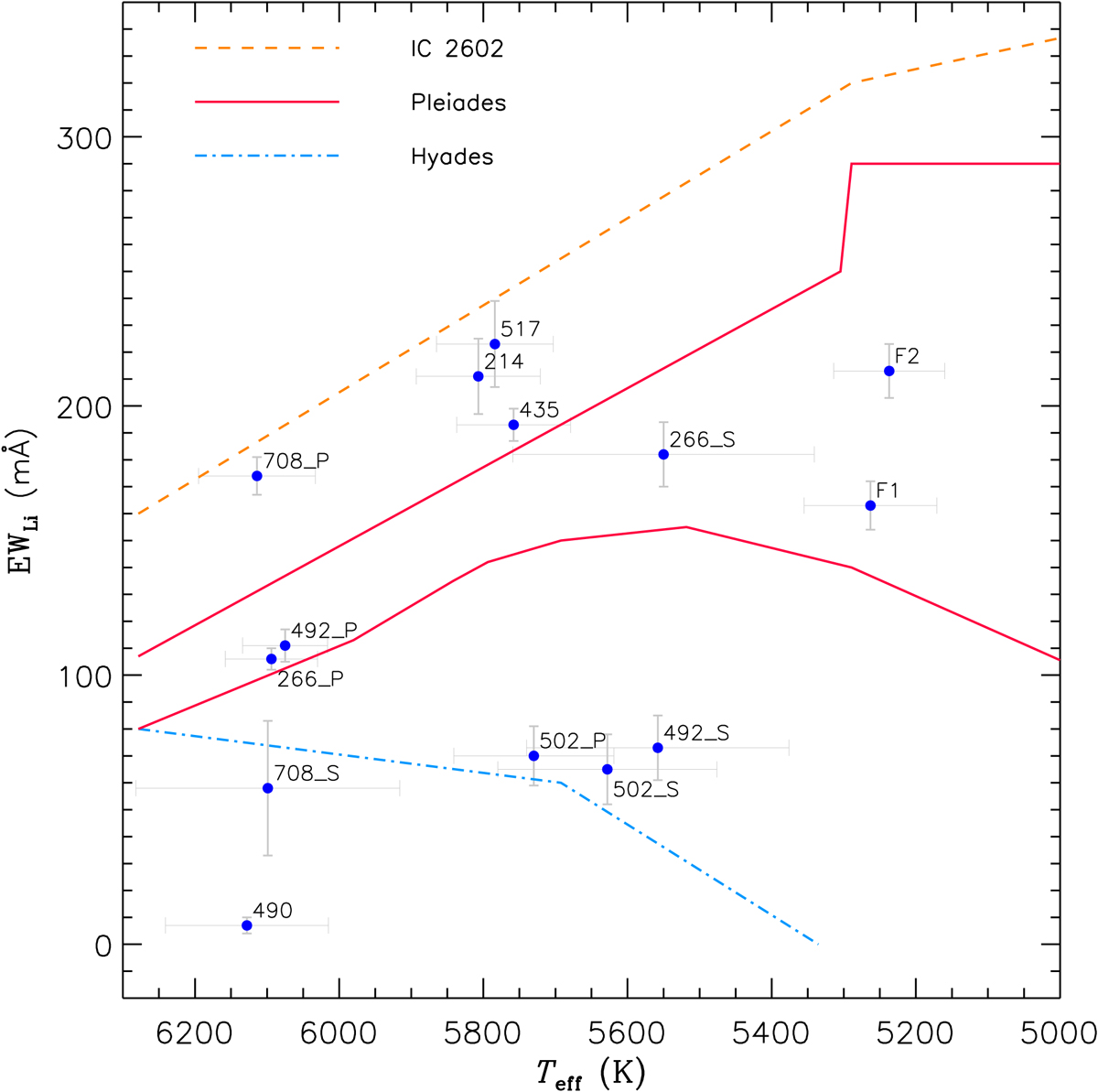
Fig. 11.

Lithium equivalent width vs. effective temperature for the single stars and the components of SB2 systems. The upper envelopes (and lower envelope for the Pleiades) of a few young clusters are overplotted. The points are labeled with the star ID, as listed in Table 6.
Current usage metrics show cumulative count of Article Views (full-text article views including HTML views, PDF and ePub downloads, according to the available data) and Abstracts Views on Vision4Press platform.
Data correspond to usage on the plateform after 2015. The current usage metrics is available 48-96 hours after online publication and is updated daily on week days.
Initial download of the metrics may take a while.