Free Access

Fig. 6.

image

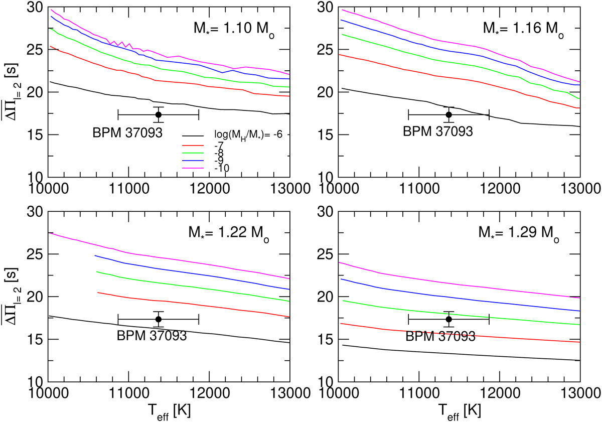
Comparison between quadrupole (ℓ = 2) period spacing derived for BPM 37093 (ΔΠ = 17.3 ± 0.9 s) and the average of the computed ℓ = 2 period spacings, , for all the considered stellar masses and different H-envelope thicknesses in terms of the effective temperature.

Current usage metrics show cumulative count of Article Views (full-text article views including HTML views, PDF and ePub downloads, according to the available data) and Abstracts Views on Vision4Press platform.

Data correspond to usage on the plateform after 2015. The current usage metrics is available 48-96 hours after online publication and is updated daily on week days.

Initial download of the metrics may take a while.