Free Access
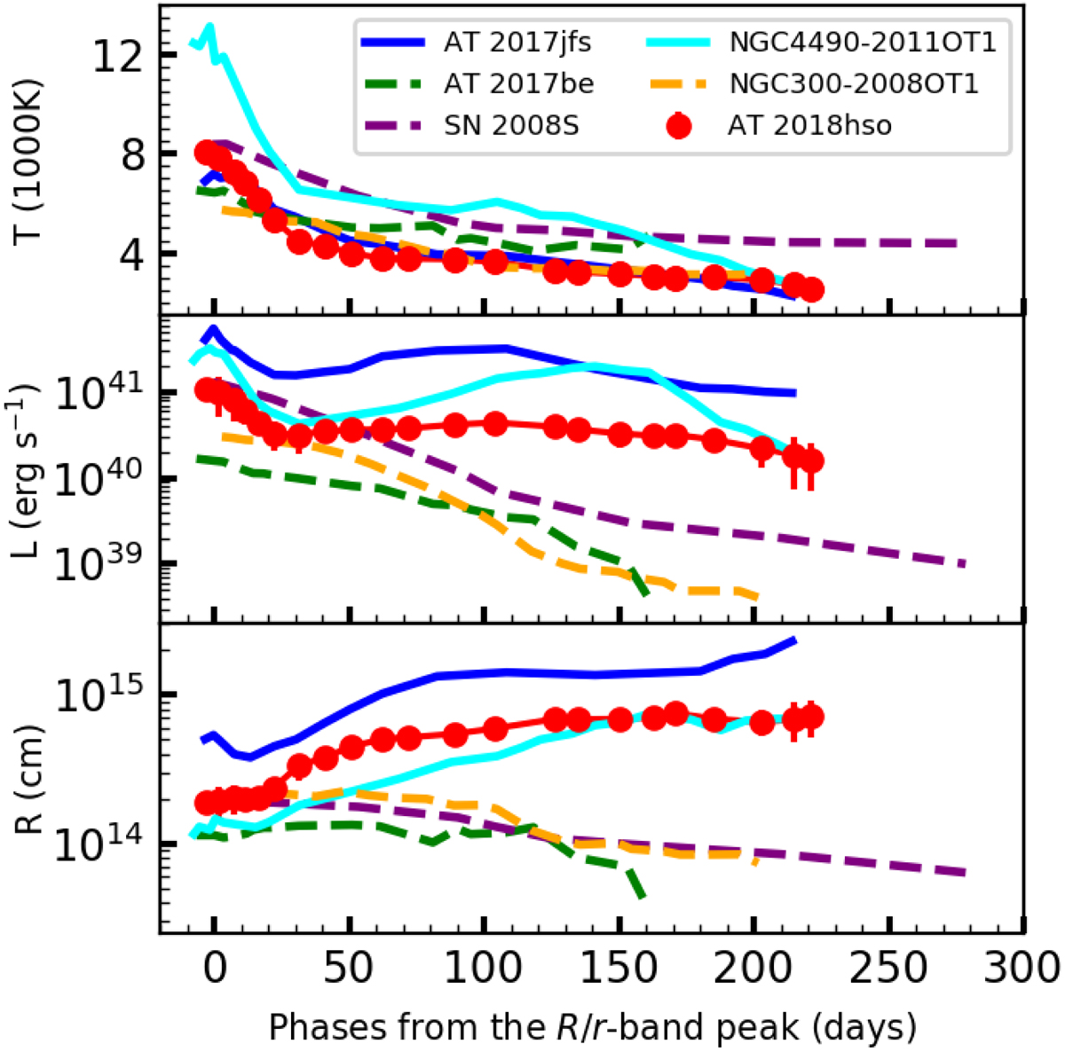
Fig. 4.

Comparison of AT 2018hso with three ILRTs (dashed lines): SN 2008S, NGC300-2008OT1 (Humphreys et al. 2011), and AT 2017be, and two LRNe (solid lines): AT 2017jfs, NGC4490-2011OT1. Top: black-body temperature evolution. Middle: bolometric light curves. Bottom: evolution of the photospheric radii.
Current usage metrics show cumulative count of Article Views (full-text article views including HTML views, PDF and ePub downloads, according to the available data) and Abstracts Views on Vision4Press platform.
Data correspond to usage on the plateform after 2015. The current usage metrics is available 48-96 hours after online publication and is updated daily on week days.
Initial download of the metrics may take a while.