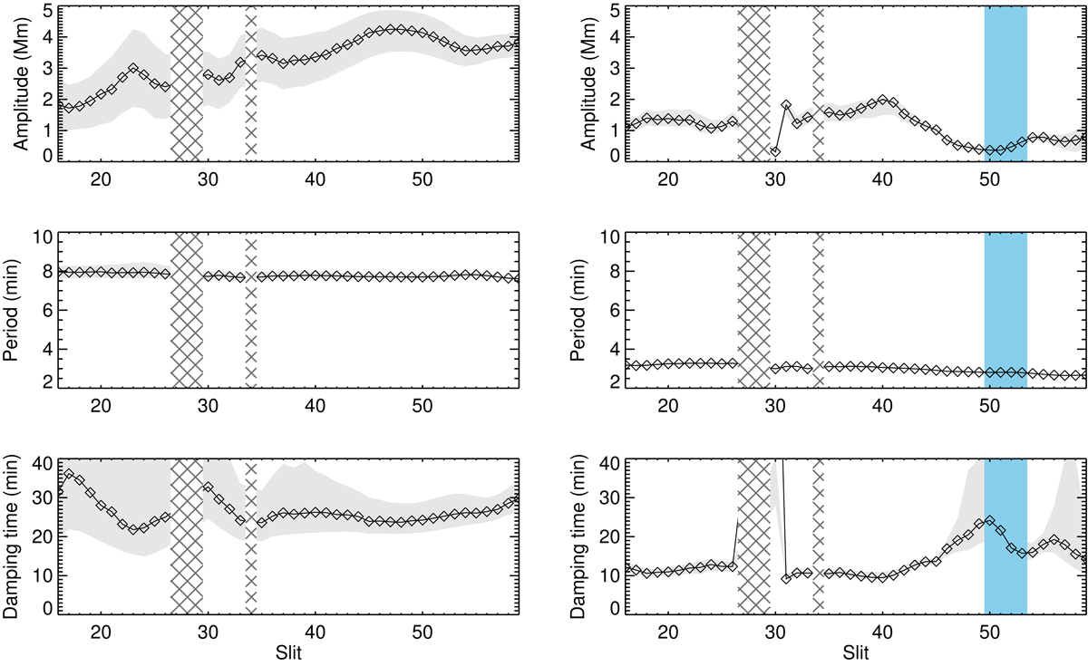
Fig. 7.

Resulting parameters from MCMC sampling to describe the unfiltered data (corresponding to the fundamental n = 1 mode) (left column), and to describe the filtered data (corresponding to the third harmonic n = 3) (right column). The parameters are amplitude (top), period (middle), and damping time (bottom). The black diamonds show the MAP parameter value from the MCMC sampling, and its credible interval is shaded light grey for each slit. The hashed regions correspond to slits where the data was not good enough to get reliable time series, predominantly caused by an overlapping loop. The blue region denotes the approximate node for the third harmonic, where amplitude is small and data is not to be trusted.
Current usage metrics show cumulative count of Article Views (full-text article views including HTML views, PDF and ePub downloads, according to the available data) and Abstracts Views on Vision4Press platform.
Data correspond to usage on the plateform after 2015. The current usage metrics is available 48-96 hours after online publication and is updated daily on week days.
Initial download of the metrics may take a while.