Free Access
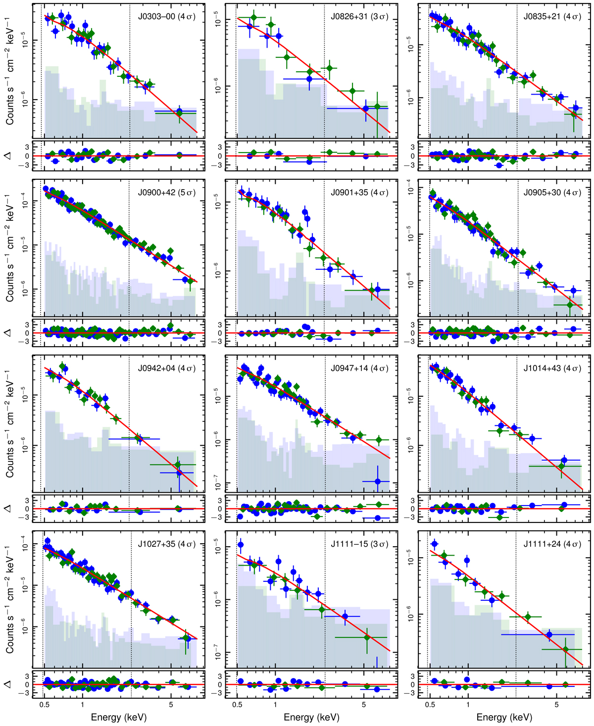
Fig. A.1.

XMM–Newton spectra of the sources in our z ≃ 3 sample, rebinned for graphic purposes only to the statistical significance indicated within brackets. The complete legend is the same as in Fig. 4, with the vertical lines marking the rest-frame energies of 2 and 10 keV.
Current usage metrics show cumulative count of Article Views (full-text article views including HTML views, PDF and ePub downloads, according to the available data) and Abstracts Views on Vision4Press platform.
Data correspond to usage on the plateform after 2015. The current usage metrics is available 48-96 hours after online publication and is updated daily on week days.
Initial download of the metrics may take a while.