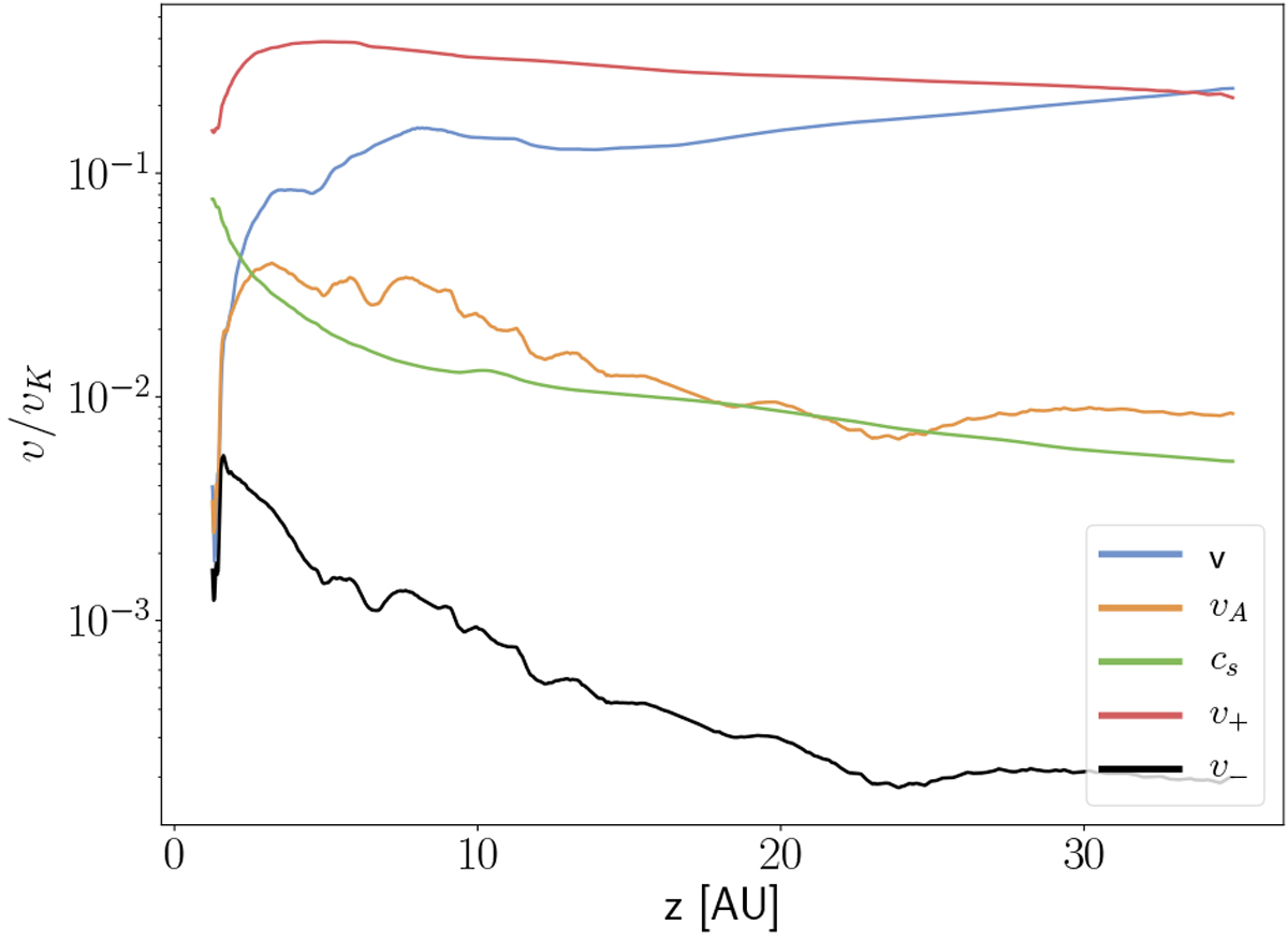
Fig. 11

Relevant poloidal velocities developing along a streamline in the time-averaged flow of X-b5. All velocities are normalized with the Keplerian velocity at the corresponding foot-point radius. Both the Alfvén point and the fast magnetosonic point are contained within the simulation domain. The blue line indicates the actual poloidal velocity, vA the local Alfvén speed, cs the sound speed, and v± the fast and slow magnetosonic speed.
Current usage metrics show cumulative count of Article Views (full-text article views including HTML views, PDF and ePub downloads, according to the available data) and Abstracts Views on Vision4Press platform.
Data correspond to usage on the plateform after 2015. The current usage metrics is available 48-96 hours after online publication and is updated daily on week days.
Initial download of the metrics may take a while.