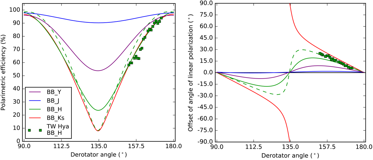
Fig. 4.

Left: polarimetric efficiency as a function of derotator angle for all broadband filters listed in Table 1. The green squares show the H-band polarimetric efficiencies measured for TW Hydrae scaled to the model curves (Sect. 5.3). The green dashed curve shows the model polarimetric efficiency for the range 0° ≤θder ≤ 90° in H band. This filter shows the strongest asymmetry around θder = 90°, which is caused by the non-ideal retardance of HWP2. Right: model polarization angle offset plotted against θder for the same filters (solid and dashed lines; as before, the dashed line covers the range 0° ≤θder ≤ 90°). In the ideal case, the polarization angle offset would remain 0°. However, there is a clear dependency on θder for H and Ks band, and to a lesser extent, for Y band, while the J band remains close to ideal. The polarization angle offsets measured as ϕ0 for TW Hydrae are plotted as green squares. The deviation of the on-sky data from the model curves is caused by the crosstalk contribution of other optical components.
Current usage metrics show cumulative count of Article Views (full-text article views including HTML views, PDF and ePub downloads, according to the available data) and Abstracts Views on Vision4Press platform.
Data correspond to usage on the plateform after 2015. The current usage metrics is available 48-96 hours after online publication and is updated daily on week days.
Initial download of the metrics may take a while.