Free Access
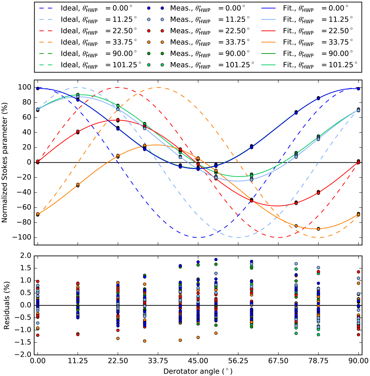
Fig. C.1.

Download original image
Ideal, measured, and fitted normalized Stokes parameters of the polarized source measurements in the H-band as a function of HWP and derotator angle. The legend only shows the -value of each data point or curve; it is implicit that the corresponding value for
differs 45° from that of
.
Current usage metrics show cumulative count of Article Views (full-text article views including HTML views, PDF and ePub downloads, according to the available data) and Abstracts Views on Vision4Press platform.
Data correspond to usage on the plateform after 2015. The current usage metrics is available 48-96 hours after online publication and is updated daily on week days.
Initial download of the metrics may take a while.