Free Access

Fig. 6.

image

Download original image

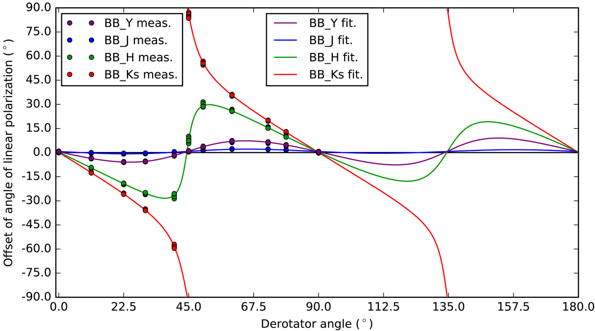
Measured and fitted offset of angle of linear polarization induced by the instrument downstream of M4 with  = 0° ,22.5° (and therefore  = 45° ,65.5°) as a function of derotator angle in the Y-, J-, H-, and Ks-band.

Current usage metrics show cumulative count of Article Views (full-text article views including HTML views, PDF and ePub downloads, according to the available data) and Abstracts Views on Vision4Press platform.

Data correspond to usage on the plateform after 2015. The current usage metrics is available 48-96 hours after online publication and is updated daily on week days.

Initial download of the metrics may take a while.