Free Access

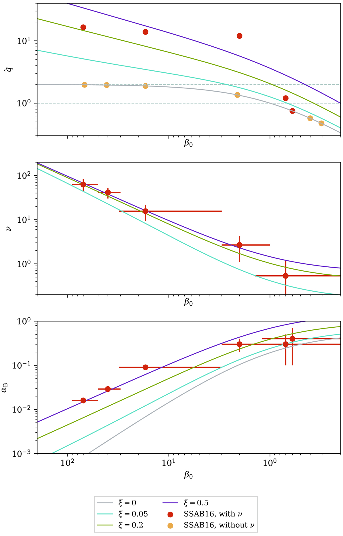
Fig. 2.

image

Dependence of model parameters: toroidal field production efficiency, αB (lower panel), reconnection efficiency, ν (middle panel), and the magnetic field gradient parameter, (upper panel) on the magnetic parameter in the disk midplane β0. Points denote values obtained from numerical simulations in SSAB16 and lines are our results from the power-law relation between αB and η (Eq. (33)) for four values of ξ.

Current usage metrics show cumulative count of Article Views (full-text article views including HTML views, PDF and ePub downloads, according to the available data) and Abstracts Views on Vision4Press platform.

Data correspond to usage on the plateform after 2015. The current usage metrics is available 48-96 hours after online publication and is updated daily on week days.

Initial download of the metrics may take a while.