Free Access

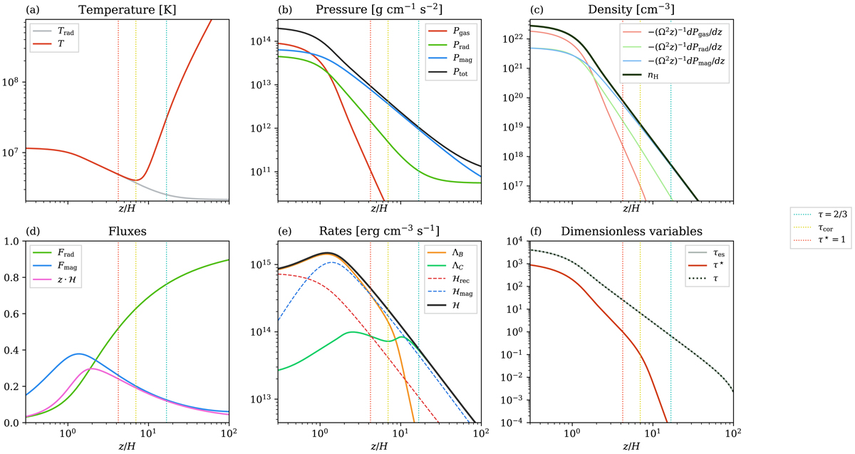
Fig. 4.

image

Vertical structure of the disk-corona system computed at the single radius R = 10 RSchw for = 0.05. The horizontal axis is the height above the disk midplane given in scale height H defined by Eq. (36). Three significant locations are marked with vertical dotted lines: the photosphere (green), the temperature minimum (dark yellow), and the thermalization depth (red). The following panels display (a) radiation and gas temperature; (b) gas, radiation, magnetic, and total pressure; (c) gas density and pressure gradients; (d) radiative energy flux, magnetic (Poynting) flux, and gas heating rate all normalized to the total accretion flux Facc; (e) net radiative cooling terms (ΛB and ΛC) and gas magnetic heating rates; and (f) electron scattering and total and effective optical depths.

Current usage metrics show cumulative count of Article Views (full-text article views including HTML views, PDF and ePub downloads, according to the available data) and Abstracts Views on Vision4Press platform.

Data correspond to usage on the plateform after 2015. The current usage metrics is available 48-96 hours after online publication and is updated daily on week days.

Initial download of the metrics may take a while.