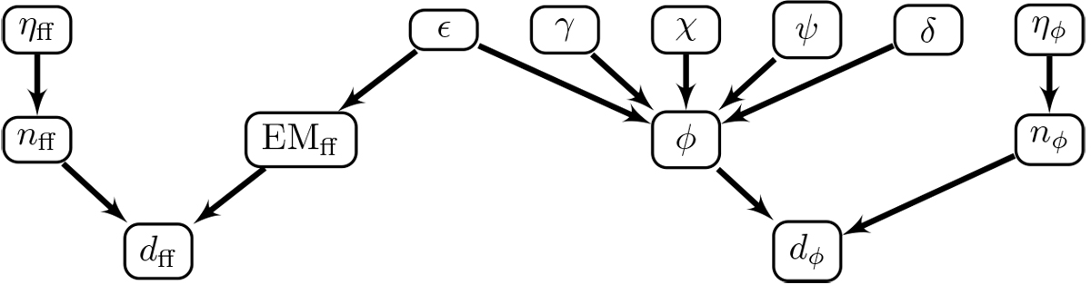
Fig. 12

Full hierarchical model excluding the power spectrum hyper-priors for the fields. The lowest layer contains the data sets dff and dϕ, which are connected by Eqs. (4) and (16) to the sky maps EMff and ϕ. The sky maps in turn are connected to the Gaussian fields in the uppermost layer via the respective models defined in Eqs. (18) and (20). From there on, the higher branches for the respective correlation structure inference follow. They are not depicted here, but are shown and explained in the appendix.
Current usage metrics show cumulative count of Article Views (full-text article views including HTML views, PDF and ePub downloads, according to the available data) and Abstracts Views on Vision4Press platform.
Data correspond to usage on the plateform after 2015. The current usage metrics is available 48-96 hours after online publication and is updated daily on week days.
Initial download of the metrics may take a while.