Open Access

Fig. B.1

image

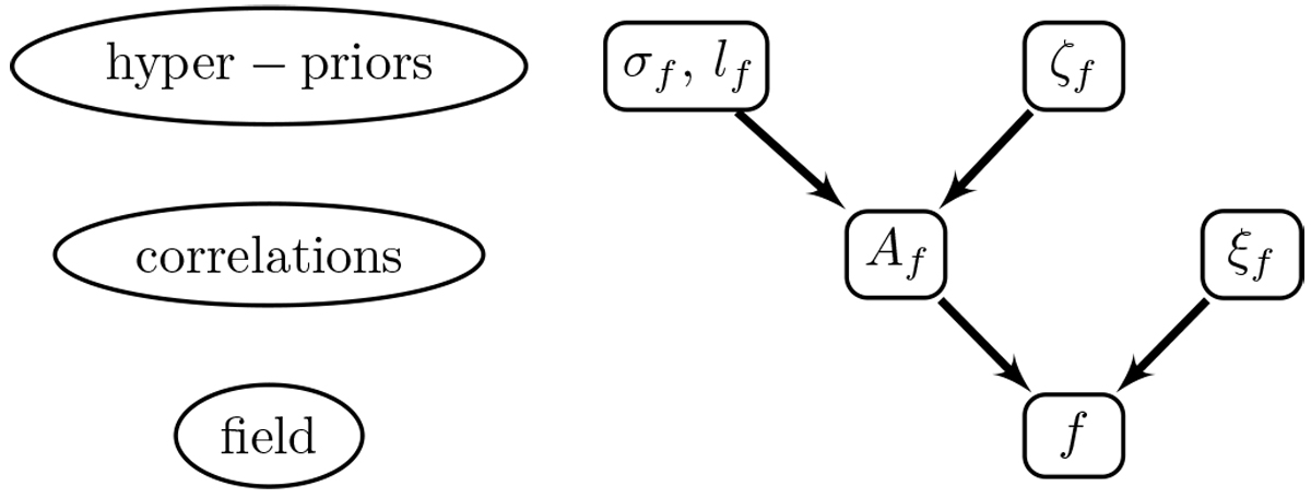
Hierarchical tree model for a generic Gaussian field f on the sky. Itis decomposed into an amplitude field Af containing the correlation structure and an a priori white Gaussian field ξf connecting this correlation information to the actual spatial representation. Af on its own again depends on hyper-priors σf lf and another white field ζf. This tree wraps up Appendix B and is the core building block of our correlation structure inference.

Current usage metrics show cumulative count of Article Views (full-text article views including HTML views, PDF and ePub downloads, according to the available data) and Abstracts Views on Vision4Press platform.

Data correspond to usage on the plateform after 2015. The current usage metrics is available 48-96 hours after online publication and is updated daily on week days.

Initial download of the metrics may take a while.