Open Access
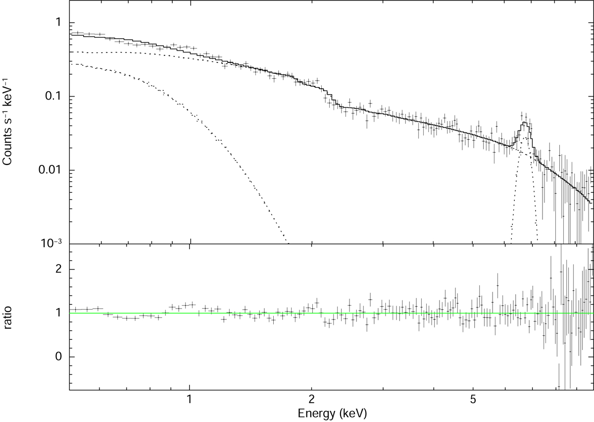
Fig. 8.

Bright phase X-ray spectrum fitted with the ipolar model which parameters are given in Table 4 (upper frame) and data/model ratio (lower frame). The dotted lines represent the separate component contributions.
Current usage metrics show cumulative count of Article Views (full-text article views including HTML views, PDF and ePub downloads, according to the available data) and Abstracts Views on Vision4Press platform.
Data correspond to usage on the plateform after 2015. The current usage metrics is available 48-96 hours after online publication and is updated daily on week days.
Initial download of the metrics may take a while.