Free Access
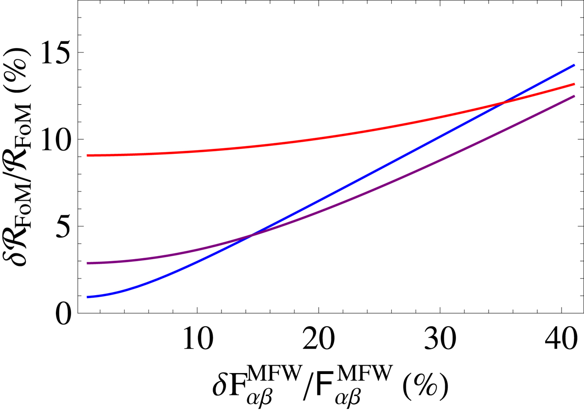
Fig. 12.

Error on the FoM ratio ℛ as a function of the relative uncertainty on the MFW Fisher matrix elements. We set a 10% prior on MF nuisance parameters, and considered the optimistic scenario for shear only. Blue, purple, and red lines refer to giving δFoM(WL)/FoM(WL) = (0.6, 2.2, 6.4)%, respectively.
Current usage metrics show cumulative count of Article Views (full-text article views including HTML views, PDF and ePub downloads, according to the available data) and Abstracts Views on Vision4Press platform.
Data correspond to usage on the plateform after 2015. The current usage metrics is available 48-96 hours after online publication and is updated daily on week days.
Initial download of the metrics may take a while.