Free Access

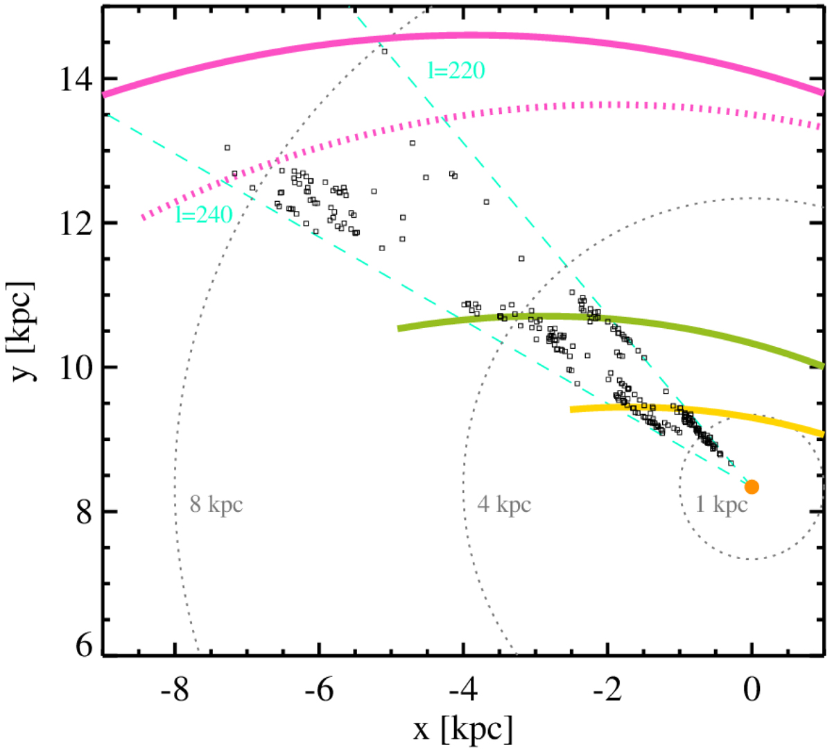
Fig. 16.

image

Face-on view of the portion of the Milky Way mapped in the FQS survey where the origin of the (x, y) coordinates is the Galactic centre. The orange point at (0,8.34) kpc marks the position of the Sun (Reid et al. 2014). Circles at 1, 4, and 8 kpc from the Sun are indicated by dashed lines. The position of the MCs of the FQS catalogue are represented by squares. The modelled position of three spiral arms is traced by yellow, green, and magenta lines for the Local, Perseus, and Outer arms, respectively. Model parameters for the spiral arms are derived from the fitting of positions of water masers derived from parallax measurements as part of the BeSSeL survey (Xu et al. 2013 for the Local arm, Choi et al. 2014 for the Perseus arm, and Hachisuka et al. 2015 for the Outer arm). An alternative model of the Outer arm (Hou & Han 2014) is also shown as a magenta dashed line.

Current usage metrics show cumulative count of Article Views (full-text article views including HTML views, PDF and ePub downloads, according to the available data) and Abstracts Views on Vision4Press platform.

Data correspond to usage on the plateform after 2015. The current usage metrics is available 48-96 hours after online publication and is updated daily on week days.

Initial download of the metrics may take a while.