Open Access

Fig. 13.

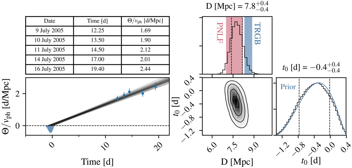
image

Tailored EPM for SN 2005cs. For a description of the figure layout see Fig. 12. The time zero point is at JD 2 453 549.0. Within the statistical uncertainties, the inferred distance agrees with the measurement of Ciardullo et al. (2002) using the planetary nebula luminosity function (PNLF), as well as that of McQuinn et al. (2016) based on the tip of the red giant branch (TRGB).

Current usage metrics show cumulative count of Article Views (full-text article views including HTML views, PDF and ePub downloads, according to the available data) and Abstracts Views on Vision4Press platform.

Data correspond to usage on the plateform after 2015. The current usage metrics is available 48-96 hours after online publication and is updated daily on week days.

Initial download of the metrics may take a while.