Open Access

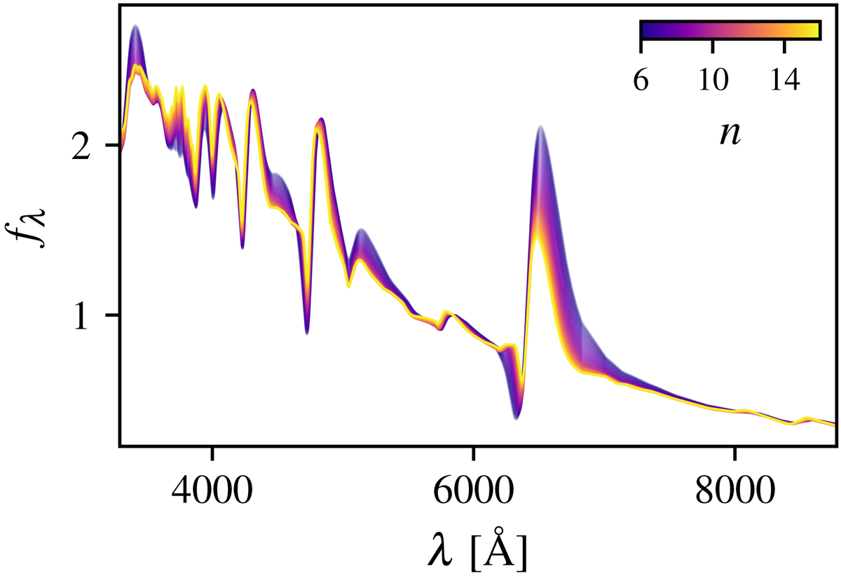
Fig. 9.

image

Variation of the spectral shape with the steepness of the density profile n. We plot specific flux fλ in arbitrary units for a sequence of emulated spectra where only the power law density index n is modified between spectra; the remaining parameters have been chosen to provide a good fit to SN 1999em for 9 November 1999 (see Fig. 8). We color code the plotted spectra by the power-law density index n.

Current usage metrics show cumulative count of Article Views (full-text article views including HTML views, PDF and ePub downloads, according to the available data) and Abstracts Views on Vision4Press platform.

Data correspond to usage on the plateform after 2015. The current usage metrics is available 48-96 hours after online publication and is updated daily on week days.

Initial download of the metrics may take a while.