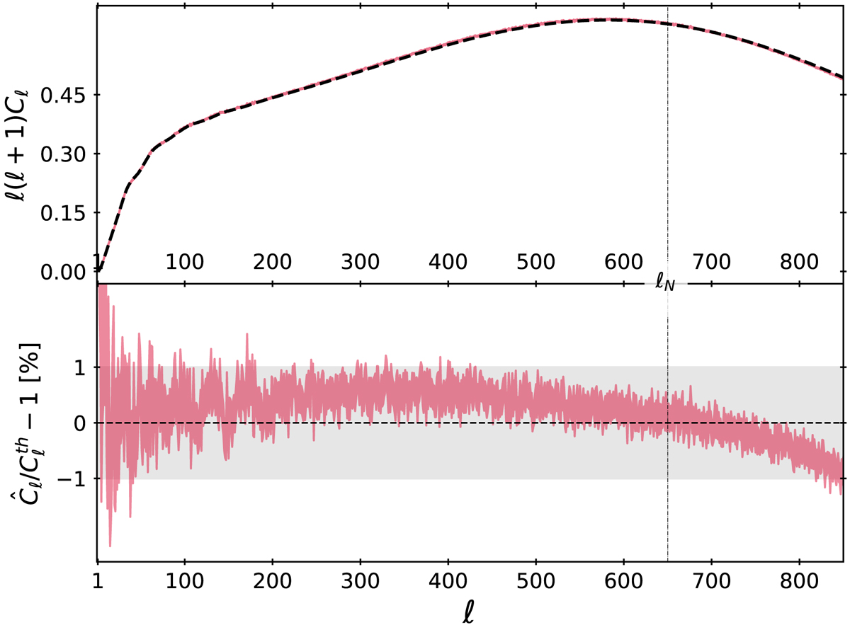
Fig. 10.

Top panel: one thousand averaged Cℓ values for simulated light cones using the shell method with error bars (red curve) and corresponding prediction (dashed black curve). We simulate here a light cone between redshifts 0.2 and 0.3 in a sampling Ns = 512 and a number of shells Nshl = 250 to ensure a sufficient level of continuity in the density field. The spherical Nyquist mode is situated around ℓN ∼ 650 and represented by the vertical reference. Bottom panel: relative deviation in percent of the averaged predicted Cℓ values with error bars in red.
Current usage metrics show cumulative count of Article Views (full-text article views including HTML views, PDF and ePub downloads, according to the available data) and Abstracts Views on Vision4Press platform.
Data correspond to usage on the plateform after 2015. The current usage metrics is available 48-96 hours after online publication and is updated daily on week days.
Initial download of the metrics may take a while.