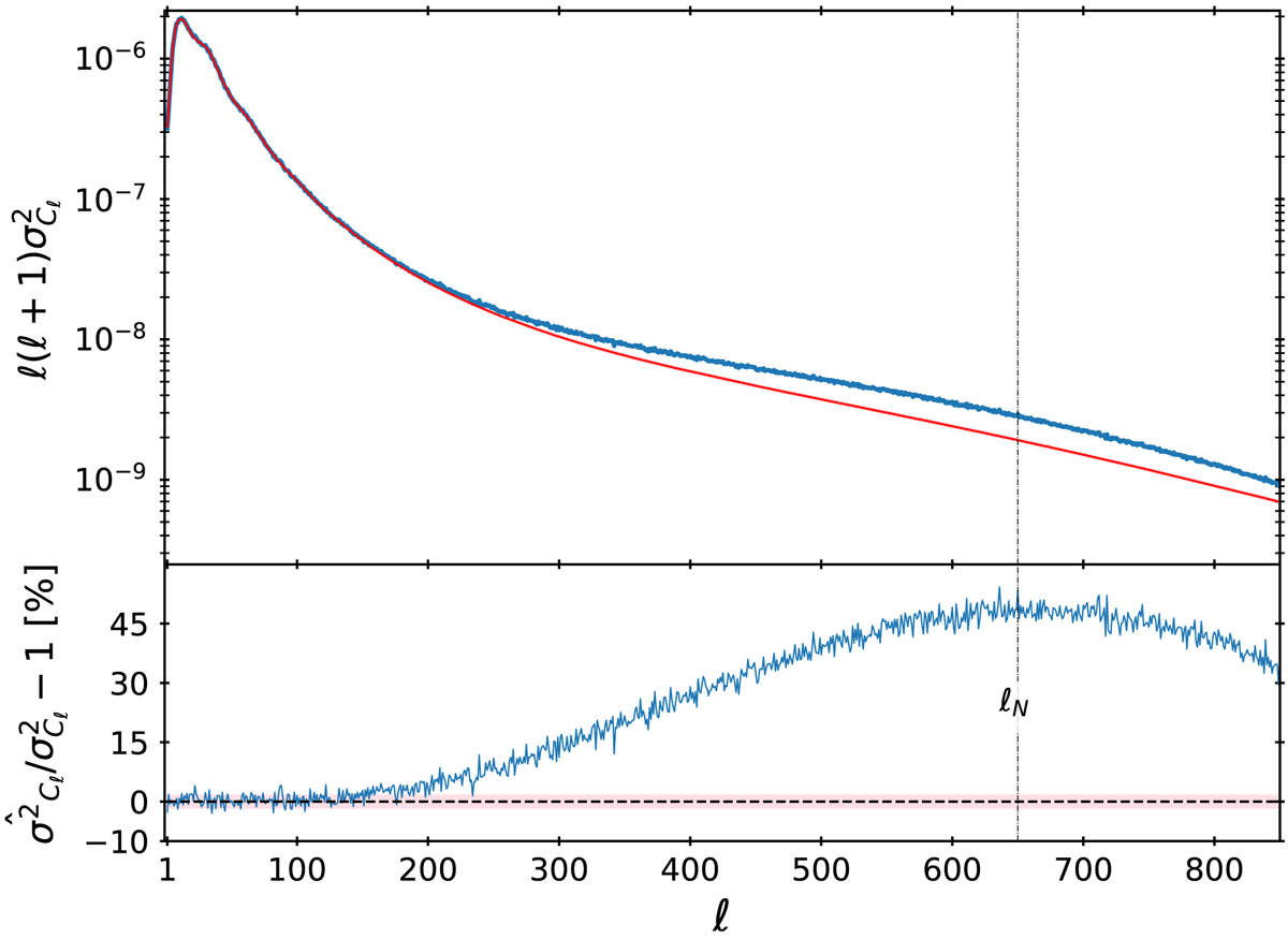
Fig. 13.

Top: measured diagonal of the covariance matrix (blue curve) over N = 10 000 realisations of different light cones. The red curve represents the associated prediction in the case of a Gaussian field with errors computed using Eq. (13). Here we keep the shot noise (SN) effect in the measures and include it in the prediction. The spherical Nyquist mode is situated around ℓN ∼ 650. Bottom: relative difference in percent following the same colour-coding.
Current usage metrics show cumulative count of Article Views (full-text article views including HTML views, PDF and ePub downloads, according to the available data) and Abstracts Views on Vision4Press platform.
Data correspond to usage on the plateform after 2015. The current usage metrics is available 48-96 hours after online publication and is updated daily on week days.
Initial download of the metrics may take a while.