Open Access
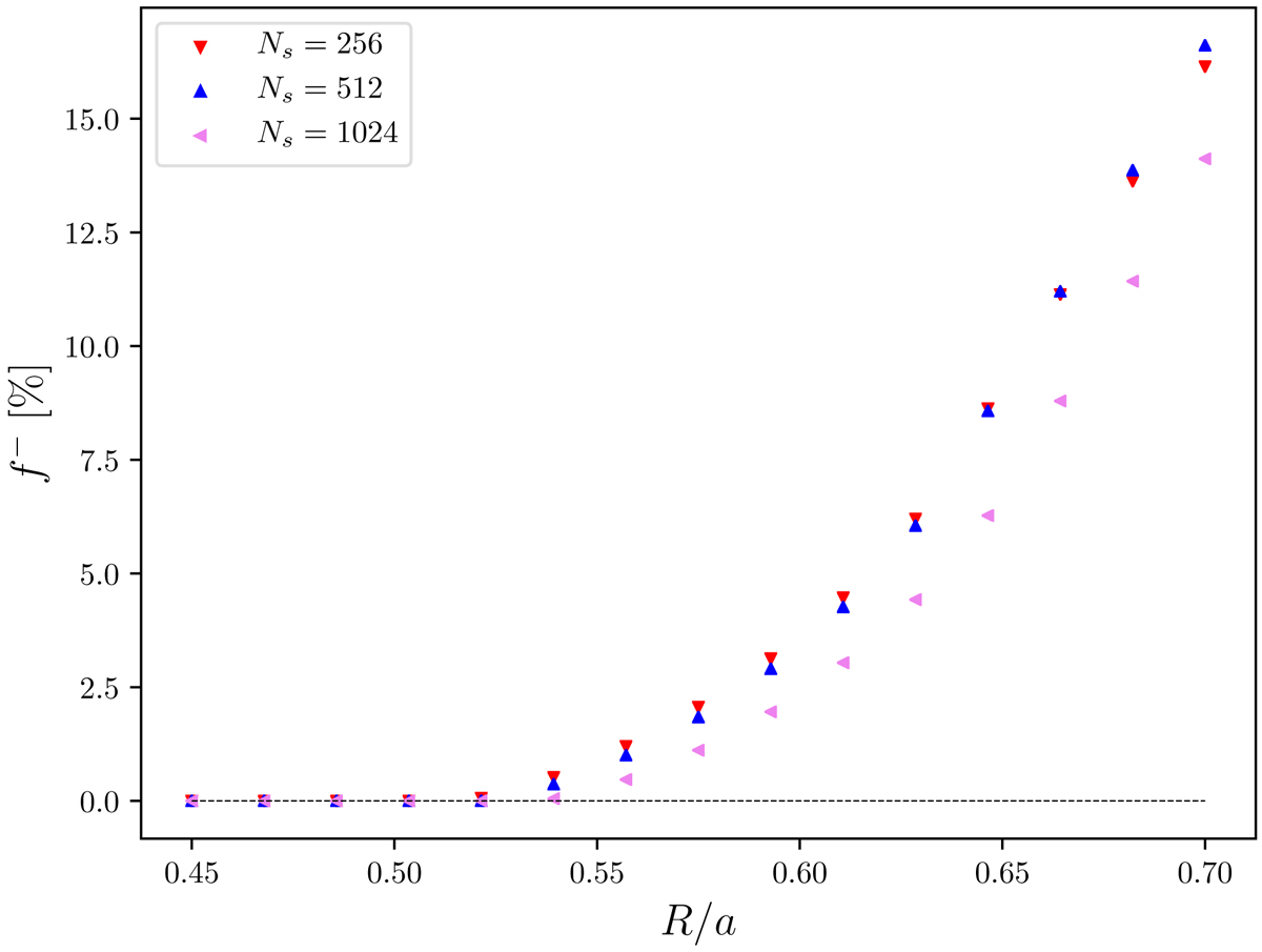
Fig. 3.

Fraction f− of negative values in the three-dimensional 𝒫ν(k) as a function of the relative filtering Rf/a for three different grid samplings. The ratio Rf/a represents the relative scale between the smoothing scale Rf of the filtered power spectrum and the size of a grid unity a.
Current usage metrics show cumulative count of Article Views (full-text article views including HTML views, PDF and ePub downloads, according to the available data) and Abstracts Views on Vision4Press platform.
Data correspond to usage on the plateform after 2015. The current usage metrics is available 48-96 hours after online publication and is updated daily on week days.
Initial download of the metrics may take a while.