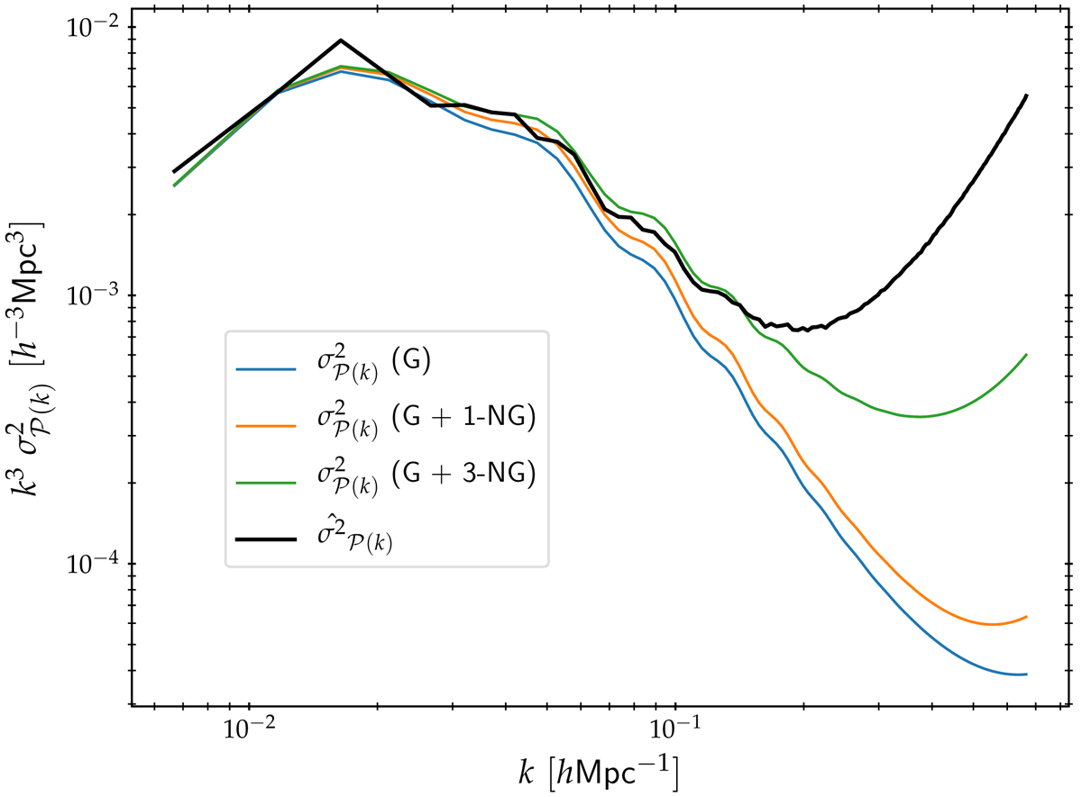
Fig. 7.

Measured diagonal of the covariance matrix for 7375 power spectra realisations of the density field using the Monte Carlo method (black line) up to kN ∼ 0.67 h Mpc−1. The other curves represent their predictions taking into account the Gaussian part alone (G) or by adding some non-Gaussian contributions of Eq. (15). For example in (1-NG) only the term in 𝒫3(ki) is kept in the tri-spectrum development presented in Eq. (17), while in (3-NG) all of them are kept.
Current usage metrics show cumulative count of Article Views (full-text article views including HTML views, PDF and ePub downloads, according to the available data) and Abstracts Views on Vision4Press platform.
Data correspond to usage on the plateform after 2015. The current usage metrics is available 48-96 hours after online publication and is updated daily on week days.
Initial download of the metrics may take a while.