Open Access

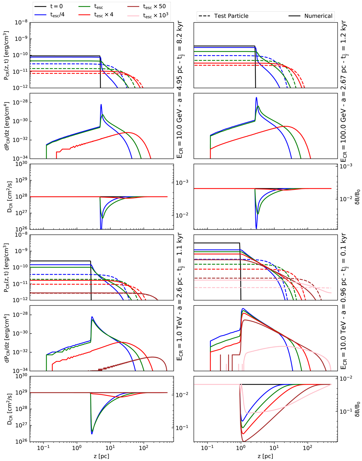
Fig. A.4.

image

Time evolution of a CR cloud of initial radius a in the CNM phase of the interstellar medium for model 𝒫. See Fig. A.1 for more details. In this medium we add two curves in brown and pink corresponding to solutions at 50 and 103t1/2.

Current usage metrics show cumulative count of Article Views (full-text article views including HTML views, PDF and ePub downloads, according to the available data) and Abstracts Views on Vision4Press platform.

Data correspond to usage on the plateform after 2015. The current usage metrics is available 48-96 hours after online publication and is updated daily on week days.

Initial download of the metrics may take a while.