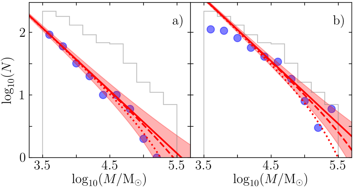
Fig. 19.

Cluster mass distributions for samples with ages log10(t/yr) < 7.7 (a) and 7.7 < log10(t/yr) < 8.7 (b). The lines represent the power-law mass distribution function of the form dN/dM = A ⋅ M−2 ⋅ exp(−M/M*): M* = ∞ (solid line, with the shaded area encompassing its Poisson standard deviation), 106 M⊙ (dashed line), and 2.5 × 105 M⊙ (dotted line).
Current usage metrics show cumulative count of Article Views (full-text article views including HTML views, PDF and ePub downloads, according to the available data) and Abstracts Views on Vision4Press platform.
Data correspond to usage on the plateform after 2015. The current usage metrics is available 48-96 hours after online publication and is updated daily on week days.
Initial download of the metrics may take a while.