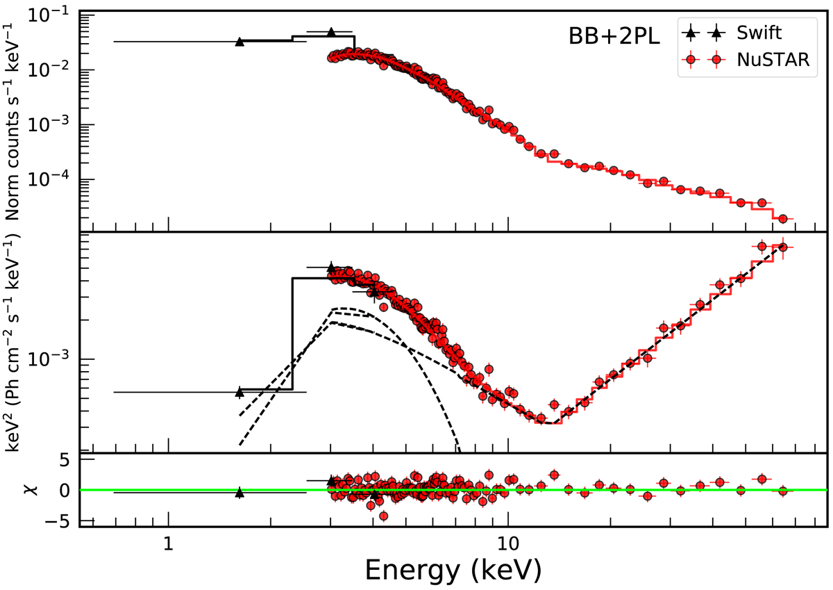
Fig. 2.

Spectrum of 1E 1547.0–5408 extracted over the 0.7–70 keV energy band from the Swift XRT (black triangles) and merged NuSTAR data sets (red circles). Data points were re-binned for plotting purpose. The solid line represents the best-fitting BB+2PL model. The E2f(E) unfolded spectrum is shown in the middle panel. Dashed lines mark the contribution of the single components to the spectral model. Post-fit residuals in units of standard deviations are shown in the bottom panel.
Current usage metrics show cumulative count of Article Views (full-text article views including HTML views, PDF and ePub downloads, according to the available data) and Abstracts Views on Vision4Press platform.
Data correspond to usage on the plateform after 2015. The current usage metrics is available 48-96 hours after online publication and is updated daily on week days.
Initial download of the metrics may take a while.