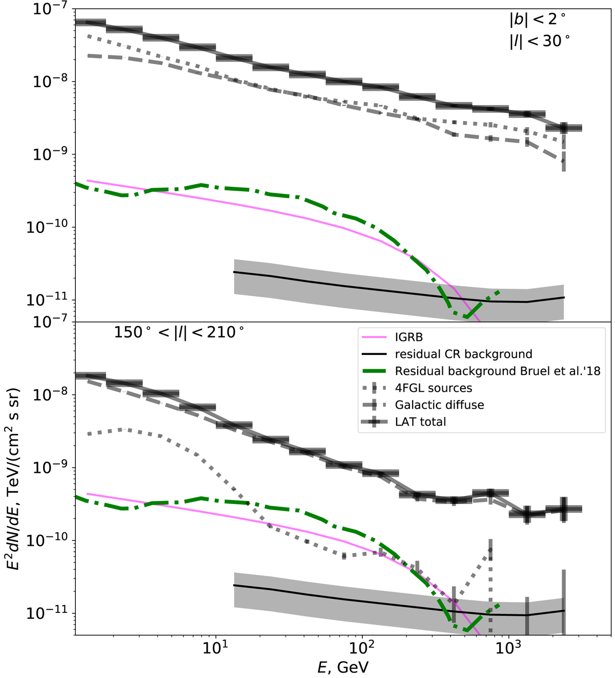
Fig. 5.

Emission spectrum from the low Galactic latitude region |b| < 10°. Top and bottom panels refer to the inner, |l| < 30°, and outer, 150° < l < 210°, Galaxy segments. Dashed and dotted lines show the diffuse background and resolved 4FGL source components of the flux. Solid lines show the sum of the two components. The thin solid magenta line shows the IGRB reported by Ackermann et al. (2015). For comparison, the spectrum of the isotropic background template for the P8R3_SOURCEVETO_V2 event selection, calculated by Bruel et al. (2018), is shown by the green dash-dotted line. This isotropic background template includes the IGRB and the residual cosmic-ray background components.
Current usage metrics show cumulative count of Article Views (full-text article views including HTML views, PDF and ePub downloads, according to the available data) and Abstracts Views on Vision4Press platform.
Data correspond to usage on the plateform after 2015. The current usage metrics is available 48-96 hours after online publication and is updated daily on week days.
Initial download of the metrics may take a while.