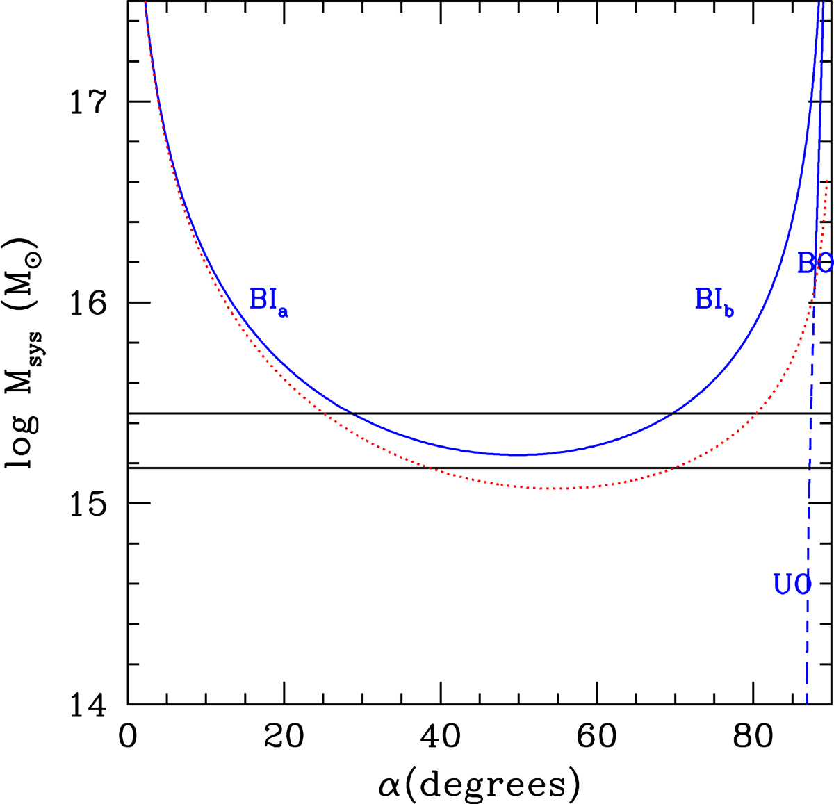
Fig. 16.

System mass vs. projection angle for bound and unbound solutions (thick solid and thick dashed blue curves, respectively) of two–body model applied to two clusters. Labels BIa and BIb indicate the bound and incoming, i.e., collapsing solutions. Labels BO and UO indicate the bound outgoing, i.e., expanding solutions and unbound outgoing solutions. The horizontal band gives the range of the observational values of the mass system. The thin red dotted curve separates bound and unbound regions according to the Newtonian criterion (above and below the thin dashed curve, respectively).
Current usage metrics show cumulative count of Article Views (full-text article views including HTML views, PDF and ePub downloads, according to the available data) and Abstracts Views on Vision4Press platform.
Data correspond to usage on the plateform after 2015. The current usage metrics is available 48-96 hours after online publication and is updated daily on week days.
Initial download of the metrics may take a while.