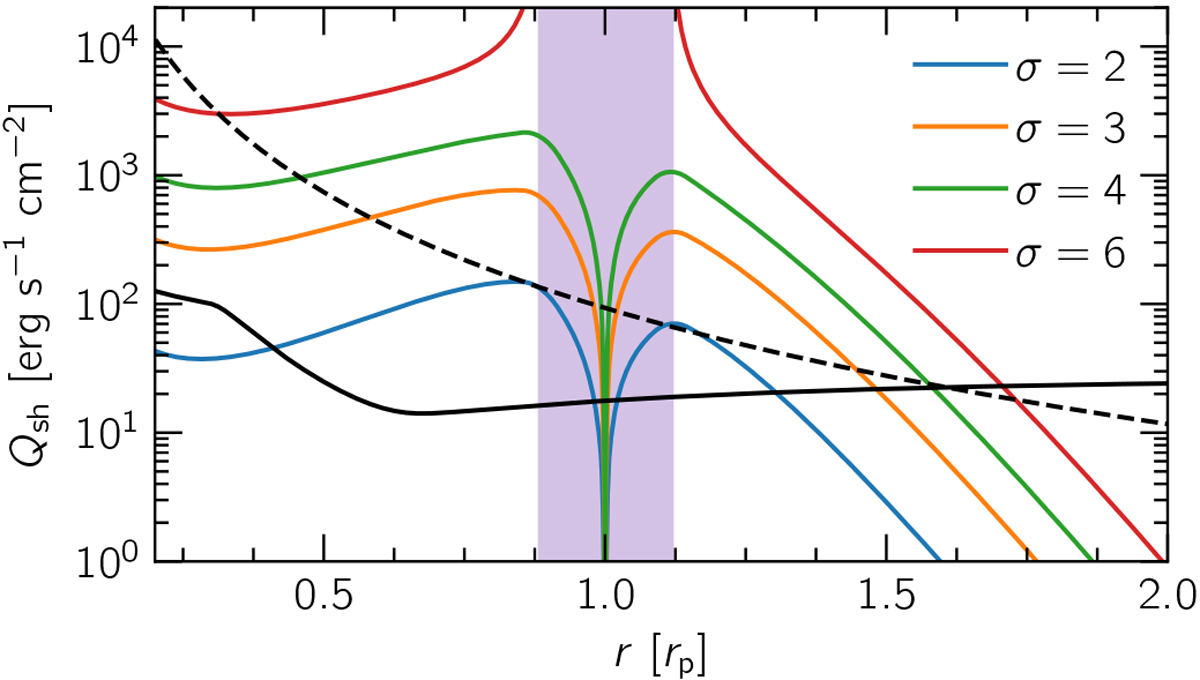
Fig. 1

Shock heating rate by planet’s spirals estimated by method in Sect. 2 and damped using Eq. (8) for different shock strengths (σ = Σ2∕Σ1, γ =7∕5) compared to viscous and irradiative heating rates (dashed and solid black lines; see Sect. 3.1). Lilac band indicates the corotating region, in which the estimates are not valid due to potential gap opening. The model used for this plot assumes Mp = 100 M⊕, Ṁ = 10−8 M⊙ yr−1, α = 10−3, rp = 4 au (see Sects. 3.1 and 3.2).
Current usage metrics show cumulative count of Article Views (full-text article views including HTML views, PDF and ePub downloads, according to the available data) and Abstracts Views on Vision4Press platform.
Data correspond to usage on the plateform after 2015. The current usage metrics is available 48-96 hours after online publication and is updated daily on week days.
Initial download of the metrics may take a while.