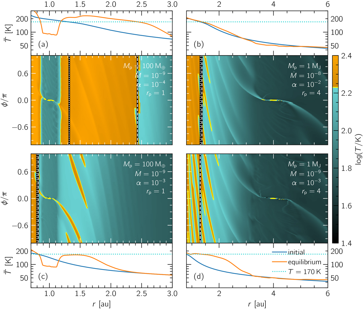
Fig. 10

Temperature maps for four models, showcasing azimuthal structure of ice line. Two colormaps denote the blue “cold” (T < Tice) and orange “hot” (T > Tice) disk, respectively, with a yellow line separating the two regions (T = Tice). The initial location of the ice line (before a planet is embedded) is marked with a dotted white line, while its azimuthally-averaged location in equilibrium is shown with a dashed white line.
Current usage metrics show cumulative count of Article Views (full-text article views including HTML views, PDF and ePub downloads, according to the available data) and Abstracts Views on Vision4Press platform.
Data correspond to usage on the plateform after 2015. The current usage metrics is available 48-96 hours after online publication and is updated daily on week days.
Initial download of the metrics may take a while.