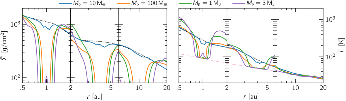
Fig. 4

Azimuthally-averaged profiles of surface density (left) and temperature (right) across planet masses and locations for our models. More massive planets open deeper and wider gaps but the temperature inside the gap region is not necessarily lower in the outer, irradiation-dominated disk due to stellar irradiation. The dotted pink line marks the disk irradiation temperature (Qcool = Qirr).
Current usage metrics show cumulative count of Article Views (full-text article views including HTML views, PDF and ePub downloads, according to the available data) and Abstracts Views on Vision4Press platform.
Data correspond to usage on the plateform after 2015. The current usage metrics is available 48-96 hours after online publication and is updated daily on week days.
Initial download of the metrics may take a while.