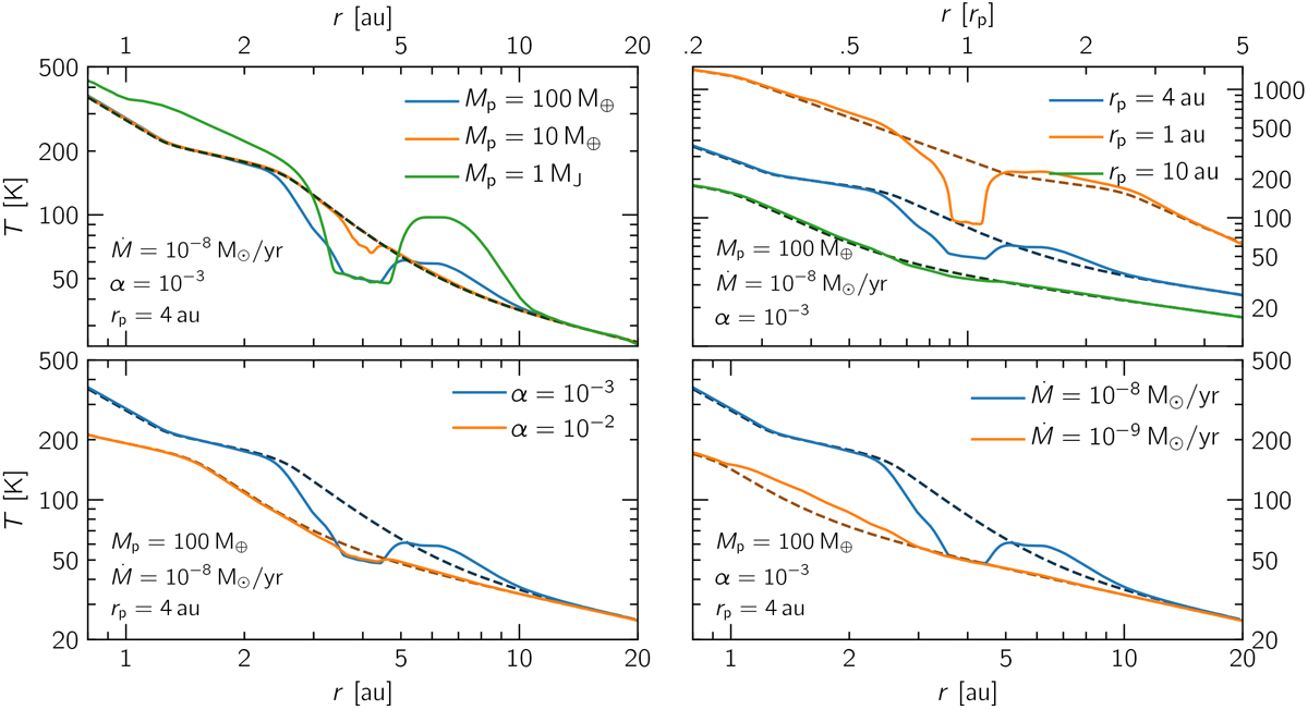
Fig. 6

Azimuthally-averaged temperature profiles for four pairs of models, showcasing influence of each of four variables in our parameter space (Mp, Ṁ, α, rp) on spiral shock heating. Our fiducial model (Mp = 100 M⊕, Ṁ = 10−8, α = 10−3, rp = 4) is shown in blue on every panel, while dashed lines depict initial profiles of the model of corresponding color. In all cases, we noted stronger shock heating in optically thicker regions of the disks. This behavior can also be seen in the rest of our suite of models.
Current usage metrics show cumulative count of Article Views (full-text article views including HTML views, PDF and ePub downloads, according to the available data) and Abstracts Views on Vision4Press platform.
Data correspond to usage on the plateform after 2015. The current usage metrics is available 48-96 hours after online publication and is updated daily on week days.
Initial download of the metrics may take a while.